高考英语阅读理解分类精选60篇

合肥新东方高考英语教研中心

能源环保
话题分析及词汇精选

该类话题的文章主要涉及两个方面:能源的稀缺导致人们寻找及使用新能源或者替代能源,以及大气、土壤、水等资源的破坏及相关保护措施。

一、能源

能源的开发及消耗殆尽引发了能源危机,人们意识到能源的稀缺性及有限性,开始思考如何节能,方式主要有两种:循环利用和寻找替代能源。替代能源主要以可再生能源为主,比如太阳能、风能、核能及水能。

1. energy ['enəʤi ] n. 能源

2. *resource [ri'sɔ:s ] n. 资源

3. *exploit [iks'plɔit ] v. 开发,利用

4. *exploitation [ˌeksplɔi'teiʃən ] n. 开发,利用

5. consume [kən'sju:m ] v. 消费,消耗

6. *consumption [kən'sʌmpʃən ] n. 消费,消耗

7. use up 用尽

8. *deplete [di'pli:t ] v. 耗尽,用尽

9. *exhaust [iɡ'zɔ:st ] v. 耗尽

10. energy crisis 能源危机

11. *scarce [skɛəs ] adj. 稀少的

12. *scarcity ['skɛəsiti ] n. 稀少,不足

13. *shortage ['ʃɔ:tiʤ ] n. 不足,短缺

14. *limited ['limitid ] adj. 有限的

15. *limitless ['limitlis ] adj. 无限的

16. *finite ['fainait ] adj. 有限的

17. *infinite ['infinit ] adj. 无限的

18. shrink [ʃriŋk ] v. 缩小,收缩

19. *conserve [kən'sə:v ] v. 保护

20. *conservation [ˌkɔnsə:'veiʃən ] n. 保护

21. recycle [ˌri:'saikl ] v. 回收利用

22. recycling [ˌri:'saikliŋ ] n. 再循环

23. alternative energy 替代能源

24. replace [ri'pleis ] v. 替代

25. *substitute ['sʌbstitju:t ] v. 替代

26. *renewable [ri'nju:əbl ] adj. 可再生的

27. solar power 太阳能

28. wind power 风能

29. *windmill ['windmil ] n. 风车

30. nuclear power 核能

31. hydro-power 水能

32. *carbohydrate [ˌkɑ:bəu'haidreit ] n. 碳水化合物

33. dam [dæm ] n. 水坝

34. pump [pʌmp ] n. 泵,抽水机 v. 抽取

35. reserve [ri'zə:v ] n. 贮存 v. 保留,预定

二、环保

环保主要涉及对大气、土壤以及水资源等的保护。环境退化激发了人类的环保意识,使人类为保护环境作出种种努力。

大气污染主要由化石燃料(煤、石油、天然气等)的燃烧及机动车辆消耗汽油排放的气体(二氧化碳等)导致,进而引发全球变暖,产生温室效应、酸雨(腐蚀性)、臭氧层破坏等问题。大气污染的解决措施包括减少使用化石燃料、推广清洁能源、减少排放、建立绿化带、使用混合动力汽车等。

土壤污染与水污染的成因有交叉重合之处,主要由农药和化肥在灌溉中的过度使用、工业废水的倾倒及固体废物的堆放与倾倒造成。解决措施包括控制污水排放和通过回收循环利用、掩埋、燃烧等方式处理固体垃圾。

1. *degrade [di'ɡreid ] v. 退化;降解

2. *degradation [ˌdeɡrə'deiʃən ] n. 退化;降解

3. awareness [ə'wɛənis ] n. 意识

4. atmosphere ['ætməsfiə ] n. 大气;气氛

5. *fossil ['fɔsl ] n. 化石

6. fuel ['fjuəl ] n. 燃料

7. *petroleum [pi'trəulium ] n. 石油

8. vehicle ['vi:ikl ] n. 车辆,交通工具

9. *gasoline ['ɡæsəli:n ] n. 汽油

10. petrol ['petrəl ] n. 汽油

11. *emission [i'miʃən ] n. 排放

12. *emit [i'mit ] v. 排放

13. carbon dioxide 二氧化碳

14. carbon monoxide 一氧化碳

15. global warming 全球变暖

16. greenhouse effect 温室效应

17. acid rain 酸雨

18. *erode [i'rəud ] v. 侵蚀,腐蚀

19. *erosion [i'rəuʒən ] n. 侵蚀,腐蚀

20. *ozone ['əuzəun ] n. 臭氧

21. *layer ['leiə ] n.

22. green belt 绿化带

23. *hybrid ['haibrid ] adj. 混合的

24. *contaminate [kən'tæmineit ] v. 污染

25. *pollutant [pə'lu:tənt ] n. 污染物质

26. *fertilizer ['fə:tilaizə ] n. 肥料

27. *irrigation [ˌiri'ɡeiʃən ] n. 灌溉

28. *sewage ['sju:iʤ ] n. 污水

29. *discharge [dis'tʃɑ:ʤ ] v. 排放

30. rubbish ['rʌbiʃ ] n. 垃圾

31. garbage ['ɡɑ:biʤ ] n. 垃圾

32. *trash [træʃ ] n. 垃圾

33. litter ['litə ] n. 垃圾

34. *dispose of 处理

35. *dump [dʌmp ] v. 倾倒

36. bury ['beri ] v. 埋葬

37. *landfill ['lændfil ] n. 垃圾场

42. 2009安徽E【答案链接】

A rainforest is an area covered by tall trees with the total high rainfall spreading quite equally through the year and the temperature rarely dipping below 16℃. Rainforests have a great effect on the world environment because they can take in heat from the sun and adjust the climate. Without the forest cover, these areas would reflect more heat into the atmosphere, warming the rest of the world. Losing the rainforests may also influence wind and rainfall patterns, potentially causing certain natural disasters all over the world.

In the past hundred years, humans have begun destroying rainforests in search of three major resources(资源): land for crops, wood for paper and other products, land for raising farm animals. This action affects the environment as a whole. For example, a lot of carbon dioxide(二氧化碳)in the air comes from burning the rainforests. People obviously have a need for the resources we gain from cutting trees but we will suffer much more than we will benefit.

There are two main reasons for this . Firstly, when people cut down trees, generally they can only use the land for a year or two. Secondly, cutting large sections of rainforests may provide a good supply of wood right now, but in the long run it actually reduces the world's wood supply.

Rainforests are often called the world's drug store. More than 25% of the medicines we use today come from plants in rainforests. However, fewer than l% of rainforest plants have been examined for their medical value. It is extremely likely that our best chance to cure diseases lies somewhere in the world's shrinking rainforests.

72. Rainforests can help to adjust the climate because they ______.

A. reflect more heat into the atmosphere
B. bring about high rainfall throughout the world
C. rarely cause the temperature to drop lower than 16℃
D. reduce the effect of heat from the sun on the earth

73. What does the word“this”underlined in the third paragraph refer to?

A. We will lose much more than we can gain.
B. Humans have begun destroying rainforests.
C. People have a strong desire for resources.
D. Much carbon dioxide comes from burning rainforests.

74. It can be inferred from the text that ______.

A. we can get enough resources without rainforests
B. there is great medicine potential in rainforests
C. we will grow fewer kinds of crops in the gained land
D. the level of annual rainfall affects wind patterns

75. What might be the best title for the text?

A. How to Save Rainforests
B. How to Protect Nature
C. Rainforests and the Environment
D. Rainforests and Medical Development

Exercise

1. A rainforest is an area covered by tall trees with the total high rainfall spreading quite equally through the year and the temperature rarely _____(降至…以下)16℃. Rainforests _____(对…有巨大影响)the world environment because they can _____(吸收)heat from the sun and _____(调节)the climate. Without the forest cover, these areas would reflect more heat into the _____(大气层), warming the rest of the world. Losing the rainforests may also _____(影响)wind and rainfall patterns, potentially causing certain _____(自然灾害)all over the world.

2. A rainforest is an area covered by tall trees with the total high rainfall spreading quite equally through the year and the temperature rarely dipping below 16℃. Rainforests have a great effect on the world environment because they can take in heat from the sun and adjust the climate. Without the forest cover, these areas would reflect more heat into the atmosphere, warming the rest of the world. Losing the rainforests may also influence wind and rainfall patterns, potentially causing certain natural disasters all over the world.

译: _______

必背词汇

1. dip [dip ] v. 下降

2. adjust [ə'ʤʌst ] v. 调整,调节

adapt [ə'dæpt ] v. 适应

*regulate ['reɡjuleit ] v. 调整;规定

regulation [ˌregju'leiʃən ] n. 规定

3. reflect [ri'flekt ] v. 反射;反映

4. shrinking [ʃriŋkiŋ ] adj. 萎缩的

shrink [ʃriŋk ] v. 萎缩,收缩

长难句分析

A rainforest is an area [covered by tall trees] [with the total high rainfall (spreading quite equally through the year) and the temperature (rarely dipping below 16)].

[分析] covered...trees与with...16修饰area;spreading...year修饰rainfall;rarely...16修饰temperature。

[翻译] 雨林是一个覆盖着高大树木的地区,总体降雨量高且全年分布平均,气温很少低于16度。

全文翻译

雨林是一个由高大树木覆盖的地区,总体降雨量高且全年分布平均,气温很少低于16度。雨林对世界环境的影响很大,因为它们能够吸收来自太阳的热量并能够调节气候。如果没有森林覆盖,这些地区会将更多的热量反射到大气层,使得世界其他地区气候变暖。失去雨林也可能影响风和降雨模式,并潜在地导致世界各地的某些自然灾害。

在过去的几百年里,人类已经开始破坏雨林来寻找三大主要资源:用来种植农作物的土地、用来制造纸张和其他产品的木材和用来饲养农场动物的土地。这种行为影响了整个环境。比如,空气中大量的二氧化碳来自雨林的燃烧。很显然人们需要砍伐树木而获取资源,但是我们受到的惩罚将远远大于我们得到的好处。

导致这一情况的原因主要有两个:第一,当人们砍伐树木时,一般来说该土地只能供人们使用一到两年;第二,现在砍伐大面积的雨林可能会为人们提供大量的木材供应,但是从长远看来,这实际上降低了世界木材的供应量。

雨林常被称为世界的药房。我们现在使用的药物有25%以上来自雨林中的植物。但是,只有不到1%的雨林植物的药用价值被人们发现。我们治愈疾病的最佳机会极有可能存在于正在萎缩的世界雨林中的某个地方。

43. 2010安徽E【答案链接】

The need to feed a growing population is putting much pressure on the world's supply of water. With 97% of the world's water too salty to be drunk or used in agriculture, the worldwide supply of water needs careful management, especially in agriculture. Although the idea of a water shortage(短缺)seems strange to someone fortunate enough to live in a high rainfall country, many of the world's agricultural industries experience constant water shortages.

Although dams can be built to store water for agricultural use in dry areas and dry seasons, the costs of water redistribution(重新分配)are very high. Not only is there the cost of the engineering itself, but there is also an environmental cost to be considered. Where valleys(山谷)are flooded to create dams, houses are lost and wildlife homes destroyed. Besides, water may flow easily through pipes to fields, but it cannot be transported from one side of the world to the other. Each country must therefore rely on the management of its own water to supply its farming requirements.

This is particularly troubling for countries with agricultural industries in areas dependent on irrigation(灌溉). In Texas, farmers' overuse of irrigation water has resulted in a 25% reduction of the water stores. In the Central Valley area of southwestern USA, a huge water-engineering project provided water for farming in dry valleys, but much of the water use has been poorly managed.

Saudi Arabia's attempts to grow wheat in desert areas have seen the pumping of huge quantities of irrigation water from underground reserves. Because there is no rainfall in these areas, such reserves can only decrease, and it is believed that fifty years of pumping will see them run dry.

72. From the first two paragraphs we learn that ______.

A. much of the world's water is available for use
B. people in high rainfall countries feel lucky
C. the costs of water redistribution should be considered
D. water can be easily carried through pipes across the world

73. Which of the following is true?

A. The water stores in Texas have been reduced by 75%.
B. Most industries in the world suffer from water shortages.
C. The underground water in Saudi Arabia might run out in 50 years.
D. Good management of water use resulted from the project in the Central Valley.

74. What is most likely to be discussed in the paragraph that follows?

A. Steps to improving water use management.
B. Ways to reduce the costs of building dams.
C. Measures to deal with worldwide water shortages.
D. Approaches to handling the pressure on water supply.

75. The text is mainly about ______.

A. water supply and increasing population
B. water use management and agriculture
C. water redistribution and wildlife protection
D. water shortages and environmental protection

Exercise

Although the idea of a water shortage seems strange to someone fortunate enough to live in a high rainfall country, many of the world's agricultural industries experience constant water shortages.

Although dams can be built to store water for agricultural use in dry areas and dry seasons, the costs of water redistribution are very high. Not only is there the cost of the engineering itself, but there is also an environmental cost to be considered.

译: _________________________

必背词汇

1. *redistribution [ˌri:ˌdistri'bju:ʃən ] n. 重新分配

*distribution [ˌdistri'bju:ʃən ] n. 分配

*distribute [di'stribju:t ] v. 分配

*assign [ə'sain ] v. 分配

allocate ['æləkeit ] v. 分配

2. *irrigation [ˌiri'geiʃən ] n. 灌溉

*irrigate ['irigeit ] v. 灌溉

3. overuse ['əuvə'ju:z ] v. 过度使用

misuse [mis'ju:z ] v. 滥用,误用

overlook [ˌəuvə'luk ] v. 俯瞰;忽视

4. reserve [ri'zə:v ] n. 贮存

*preserve [pri'zə:v ] v. 保存

*conserve [kən'sə:v ] v. 保存

长难句分析

Although the idea of a water shortage seems strange to someone (fortunate enough to live in a high rainfall country), many of the world's agricultural industries experience constant water shortages.

[分析] fortunate...country修饰someone。

[翻译] 尽管缺水的概念对于那些有幸住在高降雨量国家的人来说显得陌生,但是世界上的很多农业生产都经历着持续的水资源短缺问题。

全文翻译

养活越来越多的人口给世界水资源供给施加了很大压力。由于世界上97%的水太咸,不能饮用或不能用于农业,全世界的水资源供给需要精心管理,尤其是在农业用水方面。尽管缺水的概念对于那些有幸住在高降雨量国家的人来说显得陌生,但是世界上的很多农业生产都经历着持续的水资源短缺问题。

尽管我们可以在旱区和旱季修建大坝来储存水资源,但是这种将水资源重新分配的成本是非常高的。我们不仅需要考虑工程本身的成本,还要考虑环境成本。在淹没山谷以用来修建大坝的地方,房屋会消失,野生动物的家园会被破坏。此外,也许水能很容易地流经管道进入田地,但是它不能从世界的一边被运送到另一边。因此每个国家都必须依赖自身水资源的管理来满足农业需求。

这对于境内存在灌溉农业的国家而言尤其麻烦。在得克萨斯,农民们对灌溉用水的过度使用已经导致水资源储存量减少了25%。在美国西南部的中央谷地,一项巨大的水资源工程项目为干旱的峡谷地带的农业提供水资源,但是很多水资源的使用都没有得到很好的管理。

沙特阿拉伯人尝试在沙漠地区种植小麦,已经见证了从地下水储备中抽取大量的灌溉水的实例。由于这些地区并无降雨量,这样的储备只会减少,有人认为50年之后这里的地下水储备将被抽干。

44. 2010福建C【答案链接】

Businesses are witnessing a difficult time, which has in turn produced influence on consumers' desire to go green. However, shoppers are still laying stress on environmental concerns.

Two thirds of customers say that environmental considerations inform their purchases to the same degree as they did a year ago, while more than a quarter say that they are now even better aware of the environmental effect on what they buy.

This may help to influence how shops store goods on their shelves. And the companies should still make efforts to become more environmentally friendly. Two out of three people think it is important to buy from environmentally responsible companies, with about one in seven saying that they had even decided to take their custom elsewhere if they felt a company's environmental reputation was not good enough.

Harry Morrison, chief executive(主管)of the Carbon Trust, sympathizes:“I understand this situation where survival is very important now. But from environmental considerations, the clock is ticking—we don't have much time. In addition, cutting carbon has an immediate effect as costs drop and a medium-term benefit for the brand.”

Larger companies have an extra motivation to look at reducing their carbon footprint, as new rules next year will require businesses to buy carbon allowances to make up for their emissions(排放). Those that have taken early action will have a head start. More than two thirds of consumers are not clear about which companies are environmentally responsible. This suggests that firms that are able to relay clearly their message to the public will be in a pole position to attract shoppers.

The Carbon Trust believes that it can help by informing customers about the good work companies are doing.“When companies are granted(授予)the standard, they can use a logo(标识)in all their marketing which makes it clear that they are working towards cutting emissions,”Mr. Morrison said.

64. What's the main idea of the passage?

A. Businesses are finding ways to send their message to the shoppers.
B. Companies will soon get information about cutting carbon emissions.
C. Firms are making efforts to encourage customers to keep goods at home.
D. Firms are urged to cut carbon emissions by shoppers' environmental awareness.

65. The underlined word“inform”in Paragraph 2 probably means“______”.

A. affect
B. change
C. disturb
D. reject

66. According to Harry Morrison, businesses ______.

A. will benefit from cutting carbon emissions
B. should buy carbon allowances for shoppers
C. are required to make up for their carbon emissions
D. have encouraged shoppers to take their custom elsewhere

67. We can learn from the passage that businesses will ______.

A. have a strong desire to reduce costs
B. use the same logo in their marketing
C. gain advantages by taking early action
D. attract more shoppers by storing goods

Exercise

Larger companies have an extra _____(动力)to look at reducing their carbon footprint, as new rules next year will require businesses to buy carbon allowances to _____(弥补)their emissions. Those that have _____(早点采取措施)will have a head start. More than two thirds of consumers are not clear about which companies are environmentally responsible. This suggests that firms that are able to _____(传递)clearly their message to the public will be in a pole position to attract shoppers.

The Carbon Trust believes that it can help by _____(告知)customers about the good work companies are doing.“When companies are _____(授予)the standard, they can use a logo in all their marketing which makes it clear that they are working towards cutting emissions,”Mr. Morrison said.

必背词汇

1. stress [stres ] n. 压力 v. 强调

*emphasis ['emfəsis ] n. 强调

*emphasize ['emfəsaiz ] v. 强调

2. custom ['kʌstəm ] n. 光顾,光临

3. sympathize ['simpəθaiz ] v. 同感,赞同;同情

sympathy ['simpəθi ] n. 同情

sympathetic [ˌsimpə'θetik ] adj. 同情的

4. motivation [ˌməuti'veiʃən ] n. 动机;动力

motivate ['məutiveit ] v. 激励

motive ['məutiv ] n. 动机

5. make up for 弥补

compensate for 弥补

6. *relay [ri'lei ] v. 传递

convey [kən'vei ] v. 传递

pass on to v. 传递

7. *grant [grɑ:nt ] v. 授予;同意

8. marketing ['mɑ:kitiŋ ] n. 营销

market ['mɑ:kit ] v. 营销 n. 市场

9. urge [ə:ʤ ] v. 催促

urgent ['ə:ʤənt ] adj. 紧急的

10. awareness [ə'wɛənis ] n. 意识

be aware of 意识到,知道

be conscious of 意识到,知道

*conscious ['kɔnʃəs ] adj. 有意识的

*consciousness ['kɔnʃəsnis ] n. 意识

*subconsciousness [ˌsʌb'kɔnʃəsnis ] n. 下意识,潜意识

全文翻译

企业正经历一个困难的时期,反过来这也对消费者想要支持环保的愿望产生了影响。但是,消费者仍然很重视环境问题。

三分之二的顾客说环境方面的考虑对于他们购买行为的影响程度和一年前一样,然而超过四分之一的人却说他们现在更加意识到环境对他们所购买物品的影响。

这可能会影响商店对货架上商品的储存,并且公司仍要努力变得更加环保。三分之二的人认为从对环境负责的公司购买(商品)是重要的,有七分之一的人表示,如果他们觉得一个公司在环境方面的声誉不够好,他们甚至会决定光顾别的地方。

碳信托有限公司的主管Harry Morrison有同感:“我理解现在公司生存是最重要的局面。但是从环境方面考虑,时间正一分一秒地流逝——我们的时间不多了。另外,随着成本的下降,减少碳排放会对产品品牌产生直接影响,并获得中期的利益。”

由于明年的新规则将会要求企业购买碳排放配额来弥补其碳排放,因此较大的公司会有额外的动力去考虑减少碳足迹(碳排放量)。那些提早采取措施的公司将会占得先机。超过三分之二的消费者并不清楚哪些公司是对环境负责的。这意味着那些能明确地向大众传达信息的公司将在吸引消费者方面处于有利地位。

碳信托有限公司相信,告知消费者他们的公司在做有益于环境的事是对公司有利的。Morrison先生说:“当公司被授予这样一个标准时,他们能够在所有上市商品中使用一个标识,该标识能很清楚地表明他们在努力减少碳排放。”

易错题解析

64. 答案: D

解析: 文章第2、3段主要讲的是消费者对于环保的态度。文章第4、5两段主要从公司角度来阐述环保的好处。因此文章的主要含义应该包括三个方面:消费者、公司、环保。综上所述,只有D选项同时涉及了这三个方面,故为正确答案。

65. 答案: A

解析: 文章中第2段有while一词,表示对比。While前面提到inform their purchases,而后面又提到environmental effect on what they buy,实际在说环境因素对人们购买行为的影响。Purchases对应what they buy,那inform应该对应effect。A选项affect意为“影响”,故为正确答案。

66. 答案: A

解析: 易错选项为B和C。题目要求是“According to Harry Morrison”,文章只有第4段提到该人物,因此答案应该在第4段中提炼。根据“cutting carbon...brand”可知正确选项为A。选择B和C的主要原因是大家看到了第5段的第一句话,其中说企业要买碳补贴去弥补他们的排放,正好与B和C表达的含义一致,但是却不是Harry Morrison的观点,因此不选。

45. 2011北京D【答案链接】

As the railroads and the highways shaped the American West in the past centuries, a new electrical generating(发电)and transmission(输送)system for the 21st century will leave a lasting mark on the West, for better or worse. Much of the real significance of railroads and highways is not in their direct physical effect on the scenery, but in the ways that they affect the surrounding community. The same is true of big solar plants and the power lines that will be laid down to move electricity around.

The 19th century saw land grants(政府拨地)offered to railroad companies to build the transcontinental railroads, leaving public land in between privately owned land. In much of the West, some of the railroad sections were developed while others remained undeveloped, and in both cases the landownership has presented unique challenges to land management. With the completion of the interstate highway system, many of the small towns, which sprang up as railway stops and developed well, have lost their lifeblood and died.

Big solar plants and their power lines will also have effects far beyond their direct footprint in the West. This is not an argument against building them. We need alternative energy badly, and to really take advantage of it we need to be able to move electricity around far more readily than we can now.

So trade-offs will have to be made. Some scenic spots will be sacrificed. Some species(物种)will be forced to move, or will be carefully moved to special accommodations. Deals will be struck to reduce the immediate effects.

The lasting effects of these trade-offs are another matter. The 21st century development of the American West as an ideal place for alternative energy is going to throw off a lot of power and money in the region. There are chances for that power and money to do a lot of good. But it is just as likely that they will be spent wastefully and will leave new problems behind, just like the railroads and the highways.

The money set aside in negotiated trade-offs and the institutions that control it will shape the West far beyond the immediate footprint of power plants and transmission lines. So let's remember the effects of the railroads and the highways as we construct these new power plants in the West.

67. What was the problem caused by the construction of the railways?

A. Small towns along the railways became abandoned.
B. Some railroad stops remained underused.
C. Land in the West was hard to manage.
D. Land grants went into private hands.

68. What is the major concern in the development of alternative energy according to the last two paragraphs ?

A. The transmission of power.
B. The use of money and power.
C. The conservation of solar energy.
D. The selection of an ideal place.

69. What is the author's attitude towards building solar plants?

A. Cautious.
B. Approving.
C. Doubtful.
D. Disapproving.

70. Which is the best title for the passage?

A. How the Railways Have Affected the West
B. How Solar Energy Could Reshape the West
C. How the Effects of Power Plants Can Be Reduced
D. How the Problems of the Highways Have Been Settled

Exercise

1. The money set aside in _____(经协商的)trade-offs and the institutions that control it will shape the West far beyond the _____(即时的)footprint of power plants and _____(传输)lines. So let's remember the effects of the railroads and the highways as we _____(建造)these new power plants in the West.

2. So trade-offs will have to be made. Some scenic spots will be sacrificed. Some species will be forced to move, or will be carefully moved to special accommodations. Deals will be struck to reduce the immediate effects.

The lasting effects of these trade-offs are another matter. The 21st century development of the American West as an ideal place for alternative energy is going to throw off a lot of power and money in the region. There are chances for that power and money to do a lot of good. But it is just as likely that they will be spent wastefully and will leave new problems behind, just like the railroads and the highways.

译: _________________________

必背词汇

1. generate ['ʤenəreit ] v. 产生

generation [ˌʤenə'reiʃən ] n. 产生;代

2. transmission [træns'miʃən ] n. 传输

transmit [trænz'mit ] v. 传达

translate [træns'leit ] v. 翻译

3. plant [plɑ:nt ] n. 设备;工厂

4. transcontinental [ˌtrænzˌkɔnti'nentl ] adj. 横贯大陆的

continent ['kɔntinənt ] n. 洲;大陆

5. completion [kəm'pli:ʃən ] n. 完成

complete [kəm'pli:t ] adj. 完成的,完整的

compete [kəm'pi:t ] v. 竞争

competition [ˌkɔmpi'tiʃən ] n. 竞赛

6. spring [spriŋ ] v. 出现 n. 春天;泉水

7. alternative [ɔ:l'tə:nətiv ] adj. 可供选择的 n. 替换物

8. badly ['bædli ] adv. 极度地

9. trade-off n. 取舍,权衡

10. sacrifice ['sækrifais ] v. 牺牲

11. species ['spi:ʃi:z ] n. 物种

12. accomodation [əˌkɔmə'deiʃən ] n. 住处 

13. negotiate [ni'ɡəuʃieit ] v. 谈判

negotiation [niˌɡəuʃi'eiʃən ] n. 谈判

14. *underuse [ˌʌndə'ju:z ] v. 未充分利用

*misuse [mis'ju:z ] v. 误用;滥用

abuse [ə'bju:z ] v. 滥用;辱骂

15. cautious ['kɔ:ʃəs ] adj. 谨慎的

caution ['kɔ:ʃən ] n. 谨慎

*precaution [pri'kɔ:ʃən ] n. 预防措施

16. *conservation [ˌkɔnsə'veiʃən ] n. 保存

*conserve [kən'sə:v ] v. 保存

长难句分析

The money (set aside in negotiated trade-offs) and the institutions (that control it) will shape the West far beyond the immediate footprint of power plants and transmission lines.

[分析] money与institutions并列作主语;set...trade-offs修饰money;that control it修饰institutions。

[翻译] 在这种商定好的取舍中所拨出的钱款和控制它的机构将会塑造西部,其影响将远远超过修建发电厂和输送线路产生的即时影响。

全文翻译

正如过去的几个世纪里铁路和公路塑造了美国西部一样,不论好坏,21世纪的新型发电输送系统将会给美国西部留下深远的影响。铁路和公路的真正意义并不在于它们对西部地区面貌外观上的直接影响,而是在于它们影响周边社区的方式。同样,大型太阳能发电厂和即将铺设传输电力的输电线的意义也是如此。

19世纪,铁路公司获得了政府拨地去修建横贯大陆的铁路,公有土地在私有土地之间被使用。在西部的大部分地区,一些修建了铁路的区域获得了发展,而另一些地区则仍然未开发,在这两种情形下,土地所有权都给土地管理带来了特有的挑战。随着州际公路系统的建成,许多因火车站而兴起、发展的小城镇失去了它们的发展命脉而走向没落。

大型太阳能设备及其输电线对西部也有远超过改变其外观的直接影响,但我们不能因此而反对修建它们。我们急需可替代能源,为了能真正将其利用起来,我们需要远比现在更容易传输电力的能力。

因此我们不得不作出取舍。一些景点将会被牺牲。一些物种将被迫迁移,或者被小心翼翼地迁移到特殊的栖息地。我们将会采取措施来减少其直接影响。

这些取舍的深远影响是另外一回事。作为一个可替代能源开发的理想地区,21世纪美国西部的发展将需要在这个地区投入大量的人力和金钱。人力和金钱有可能会发挥很好的作用,但它们也有可能都被挥霍掉,并留下新的问题,就像铁路和公路一样。

在这种商定好的取舍中所拨出的钱款和控制它的机构将会塑造西部,其影响将远远超过修建发电厂和输送线路产生的即时影响。因此当我们在西部修建新的发电厂时,要记住铁路和公路的影响。

46. 2011湖北C【答案链接】

In today's throw away society, dealing with the city's growing mountain of waste is an increasing challenge for the city council(市议会).

Recently, Edinburgh is faced with the problem of disposing of(处理)about 250,000 million tons of waste a year. Despite different ways to dispose of much of it in a green manner—largely through encouraging recycling—its aging facilities such as the Powderhall landfill do not have the ability to deal with it.

The European Union (EU) has issued a new policy, regulating how such mountains of waste are to be disposed of. The five councils (Edinburgh, East Lothian, West Lothian, Midlothian and Borders) face fines around £18 million a year from 2013 if they don't increase recycling levels and rely less on landfill. With this in mind, the councils got together with the idea of building a large incinerator plant(垃圾焚烧厂)to burn half of the waste produced in their districts. But this plan fell apart after the change of target levels by a new UK government waste policy which required that no more than 25% of the city's waste should be disposed of in this way by 2025.

After the plan was abandoned, a private company which already transported millions of tons of the city's waste by train to a landfill site near Dunbar, offered an alternative solution when it suggested opening a huge waste site near Portobello.

Since Powderhall is supposed to close in 2015, it seemed necessary for the members of the Edinburgh Council to accept the suggestion. But soon they turned it down—after 700 local objections reached them—because it would have meant hundreds of lorries a day making loud noise through heavily populated areas.

That still leaves the council with a problem. By 2013, only 50% of 1995 levels of waste will be allowed to be sent to landfill. Even if recycling targets are met, there will still be a large amount of rubbish to be burnt up. Due to this, Edinburgh and Midlothian councils have now decided to work together to build an incinerator plant as time to find a solution is fast running out.

59. The main way of handling waste in a green manner in Edinburgh is _______.

A. recycling
B. restoring
C. burying
D. burning

60. The five councils worked out a plan to build an incinerator plant to _______.

A. reduce the cost of burying waste
B. meet the EU requirements
C. speed up waste recycling
D. replace landfill sites

61. The city council of Edinburgh rejected the suggestion to open a huge landfill site near Portobello because ______.

A. it came from a private company
B. the council was not interested in it
C. it was not supported by EU
D. the local people were against it

62. What is the final decision of Edinburgh and Midlothian councils?

A. To open a new landfill nearby.
B. To close the Powderhall landfill in 2015.
C. To set up a plant for burning waste.
D. To persuade people to deduce their waste.

Exercise

1. After the plan was _____(放弃), a private company which already _____(运输)millions of tons of the city's waste by train to a landfill site near Dunbar, _____(提供)an _____(供选择的)solution when it suggested opening a huge waste site near Portobello.

2. That still leaves the council with a problem. By 2013, only 50% of 1995 levels of waste will be allowed to be sent to landfill. Even if recycling targets are met, there will still be a large amount of rubbish to be burnt up. Due to this, Edinburgh and Midlothian councils have now decided to work together to build an incinerator plant as time to find a solution is fast running out.

译: ______

必背词汇

1. council ['kaunsil ] n. 委员会

2. dispose of 处理

3. facility [fə'siliti ] n. 设施

equipment [i'kwipmənt ] n. 设备

device [di'vais ] n. 设备

4. issue ['iʃju: ] v. 发布 n. 议题,问题

5. fine [fain ] n. 罚款

6. district ['distrikt ] n. 区域

7. fall apart 破碎

8. alternative [ɔ:l'tə:nətiv ] adj. 供选择的,可替代的

9. objection [əb'ʤekʃən ] n. 反对

object to 反对

object ['ɔbʤikt ] n. 物体 [əb'ʤekt ] v. 反对,提出…作为反对理由

objective [əb'ʤektiv ] adj . 客观的

10. reject [ri'ʤekt ] v. 拒绝

11. landfill ['lændfil ] n. 垃圾堆

长难句分析

But this plan fell apart after the change of target levels by a new UK government waste policy (which required that no more than 25% of the city's waste should be disposed of in this way by 2025).

[分析] which...2025修饰policy。

[翻译] 但是,这个计划在由英国政府推出新的垃圾(处理)政策改变目标水平后告吹了。新政策要求到2025年的时候,以这种方式处理的垃圾量不能超过(总量的)25%。

全文翻译

在今天这样一个“用了就丢”(充斥着一次性商品)的社会,处理日益堆积如山的垃圾对市议会来说是个越来越棘手的挑战。

最近,爱丁堡面临着一年要处理2500亿吨垃圾的问题。虽然有很多环保的方法去处理大部分的垃圾——大多采用鼓励回收的方式——但一些日渐残旧的设施(比如Powderhall堆填区)并不具备这种处理垃圾的能力。

欧盟已经出台了一项新政策,对如何处理这种堆积如山的垃圾作出了规定。如此一来,如果五个市议会(爱丁堡、东洛西安、西洛西安、中洛西安和苏格兰边境)不加大回收力度并减少对垃圾堆填区的依赖,它们从2013年起将面临一年约1800万英镑的罚款。考虑到这一点,这些市议会聚在一起想出了一个办法:建立一个大的垃圾焚烧厂来焚烧当地制造的一半垃圾。但是,这个计划在由英国政府推出新的垃圾处理政策改变目标水平后告吹了。新政策要求到2025年的时候,以这种方式处理的垃圾量不能超过总量的25%。

在以上计划被放弃之后,一家已经通过火车将百万吨城市垃圾运往Dunbar附近垃圾堆处理点的私营公司,提供了一个替代方案,该公司建议在Portobello附近建设一个巨型垃圾站。

由于Powderhall堆填区应该在2015年关闭,对爱丁堡市议会的成员来说,接受这个建议似乎是有必要的。但很快他们拒绝了这个建议——在收到700个本地抗议后——因为这将意味着每天会有数以百计的卡车在人口密集区制造噪音。

这仍旧给市议会留下了难题。到2013年,只有50%的以1995年水平为准的垃圾被允许送往垃圾堆填区。即使达到了回收的目标,仍然会有大量的垃圾要被烧掉。因此,爱丁堡和中洛西安的市议会决定合作兴建一所垃圾焚烧厂,因为找出解决方案的期限将至。

47. 2012北京D【答案链接】

Wilderness

“In wilderness(荒野)is the preservation of the world.”This is a famous saying from a writer regarded as one of the fathers of environmentalism. The frequency with which it is borrowed mirrors a heated debate on environmental protection: whether to place wilderness at the heart of what is to be preserved.

As John Sauven of Greenpeace UK points out, there is a strong appeal in images of the wild, the untouched; more than anything else, they speak of the nature that many people value most dearly. The urge to leave the subject of such images untouched is strong, and the danger exploitation(开发)brings to such landscapes(景观)is real. Some of these wildernesses also perform functions that humans need—the rainforests, for example, store carbon in vast quantities. To Mr. Sauven, these“ecosystem services”far outweigh the gains from exploitation.

Lee Lane, a visiting fellow at the Hudson Institute, takes the opposing view. He acknowledges that wildernesses do provide useful services, such as water conservation. But that is not, he argues, a reason to avoid all human presence, or indeed commercial and industrial exploitation. There are ever more people on the Earth, and they reasonably and rightfully want to have better lives, rather than merely struggle for survival. While the ways of using resources have improved, there is still a growing need for raw materials, and some wildernesses contain them in abundance. If they can be tapped without reducing the services those wildernesses provide, the argument goes, there is no further reason not to do so. Being untouched is not, in itself, a characteristic worth valuing above all others.

I look forward to seeing these views taken further, and to their being challenged by the other participants. One challenge that suggests itself to me is that both cases need to take on the question of spiritual value a little more directly. And there is a practical question as to whether wildernesses can be exploited without harm.

This is a topic that calls for not only free expression of feelings, but also the guidance of reason. What position wilderness should enjoy in the preservation of the world obviously deserves much more serious thinking.

67. John Sauven holds that ______.

A. many people value nature too much
B. exploitation of wildernesses is harmful
C. wildernesses provide humans with necessities
D. the urge to develop the ecosystem services is strong

68. What is the main idea of Para. 3?

A. The exploitation is necessary for the poor people.
B. Wildernesses cannot guarantee better use of raw materials.
C. Useful services of wildernesses are not the reason for no exploitation.
D. All the characteristics concerning the exploitation should be treated equally.

69. What is the author's attitude towards this debate?

A. Objective.
B. Disapproving.
C. Skeptical.
D. Optimistic.

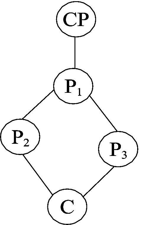
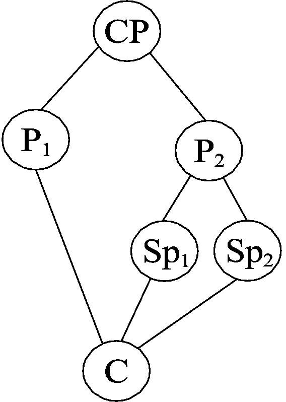
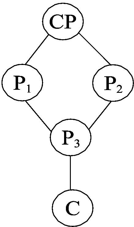
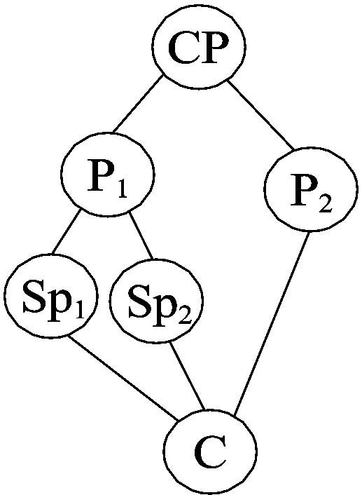
70. Which of the following shows the structure of the passage?

A. 282
B. 282-2
C. 282-3
D. 282-4

CP: Central Point P: Point

Sp: Sub-point(次要点) C: Conclusion

Exercise

Lee Lane, a visiting fellow at the Hudson Institute, takes the _____(对立的)view. He _____(承认)that wildernesses do provide useful services, such as water _____(保护). But that is not, he argues, a reason to avoid all human presence, or indeed commercial and industrial _____(开发). There are ever more people on the Earth, and they _____(合理并且正当地)want to have better lives, _____(而不是)merely struggle for survival. While the ways of using resources have improved, there is still a growing need for _____(原材料), and some wildernesses contain them in _____(丰富). If they can be _____(开发)without reducing the services those wildernesses provide, the argument goes, there is no further reason not to do so. Being untouched is not, in itself, a characteristic worth valuing above all others.

必背词汇

1. *preservation [ˌprezə'veiʃn ] n. 保护

*preserve [pri'zə:v ] v. 保护

2. mirror ['mirə ] v. 反映

3. *exploitation [ˌeksplɔi'teiʃən ] n. 开发

*exploit [iks'plɔit ] v. 开发;剥削

4. *landscape ['lændskeip ] n. 风景

scenery ['si:nəri ] n. 风景

5. *outweigh [aut'wei ] v. 比……重要

6. opposing [ə'pəuziŋ ] adj. 对立的

oppose [ə'pəuz ] v. 反对

opposite ['ɔpəzit ] adj. 相反的,对立的

7. acknowledge [ək'nɔliʤ ] v. 承认

acknowledgement [ək'nɔliʤmənt ] n. 承认

8. *conservation [ˌkɔnsə:'veiʃən ] n. 保护

9. abundance [ə'bʌndəns ] n. 丰富,充裕

abundant [ə'bʌndənt ] adj. 丰富的,充裕的

10. tap [tæp ] v. 开发 ;轻拍

11. necessity [ni'sesiti ] n. 必要

12. urge [ə:ʤ ] v. 极力主张 ;催促

13. *skeptical ['skeptikəl ] adj. 怀疑的

长难句分析

The frequency (with which it is borrowed) mirrors a heated debate (on environmental protection): whether to place wilderness at the heart of what is to be preserved.

[分析] with...borrowed修饰frequency;on...protection修饰debate。

[翻译] 这句话的引用频率反映了有关环境保护的热烈讨论:是否把荒野作为被保护对象的核心。


(What position wilderness should enjoy in the preservation of the world) obviously deserves much more serious thinking.

[分析] what...world作本句话的主语。

[翻译] 荒野在世界保护项目中应处于什么位置这个问题显然值得人类更加认真地考虑。

全文翻译

荒野

“世界的保护在于对荒野的保护。”这是一位被誉为环境保护主义之父的作家的名言。这句话的引用频率反映了有关环境保护的热烈讨论:是否把荒野作为被保护对象的核心。

正如英国绿色和平组织的John Sauven指出的一样,处于原始状态的荒野景象有着巨大的吸引力;他们谈及许多人最重视的自然要比其他任何事情都多。让这些景象的主体处于原始状态的欲望是强烈的,而开发给这类景观带来的危险也是确实存在的。其中一些荒野也发挥了人类所需要的作用——比如说雨林储藏了大量的碳。对于Sauven而言,这些“生态服务”远比开发所获得的好处重要。

休斯敦研究所的客座教授Lee Lane,对此持反对观点。他承认荒野确实提供了有用的服务,比如储存水资源。但是他坚持认为,这并不是阻止所有人类活动的理由,或者实际上,阻止进行工商业开发的理由。地球上的人越来越多,他们合理并且正当地想拥有更好的生活,而不仅仅是为生存而挣扎。尽管使用资源的方式有所改善,但是人类对于原材料的需求持续增长,而一些荒野则蕴含了大量的原材料。他的观点是,如果它们得到适当的开发,不降低荒野提供的(调节)作用,那么就没有理由不对其进行开发。从本质上讲,未开发并不是说它不该开发。

我希望看到这些观点更进一步,并希望看到其他参与者对这些观点提出质疑。我所面临的一个质疑是,两种情形都需要更直接地呈现精神价值的问题。是否可以无害地开发荒野,这是个现实的问题。

这个话题不仅需要情感的自由表达,更需要理性的指导。荒野在世界保护项目中应处于什么位置这个问题显然值得人类更加认真地考虑。

48. 2012山东A【答案链接】

The Pacific island nation of Nauru used to be a beautiful place. Now it is an ecological disaster area. Nauru's heartbreaking story could have one good consequence—other countries might learn from its mistakes.

For thousands of years, Polynesian people lived on the remote island of Nauru, far from western civilization. The first European to arrive was John Fearn in 1798. He was the British captain of the Hunter , a whaling ship. He called the island Pleasant Island.

However, because it was very remote, Nauru had little communication with Europeans at first. The whaling ships and other traders began to visit, bringing guns and alcohol. These elements destroyed the social balance of the twelve family groups on the island. A ten-year civil war started, which reduced the population from 1,400 to 900.

Nauru's real troubles began in 1899 when a British mining company discovered phosphate(磷酸盐)on the island. In fact, it found that the island of Nauru was nearly all phosphate, which is a very important fertilizer for farming. The company began mining the phosphate.

A phosphate mine is not a hole in the ground; it is a strip mine. When a company strip-mines, it removes the top layer of soil. Then it takes away the material it wants. Strip mining totally destroys the land. Gradually, the lovely island of Nauru started to look like the moon.

In 1968, Nauru became one of the richest countries in the world. Every year the government received millions and millions of dollars for its phosphate.

Unfortunately, the leaders invested the money unwisely and lost millions of dollars. In addition, they used millions more dollars for personal expenses. Soon people realized that they had a terrible problem—their phosphate was running out. Ninety percent of their island was destroyed and they had nothing. By 2000, Nauru was financially ruined. Experts say that it would take approximately $433,600,000 and more than 20 years to repair the island. This will probably never happen.

56. What might be the author's purpose in writing the text?

A. To seek help for Nauru's problems.
B. To give a warning to other countries.
C. To show the importance of money.
D. To tell a heartbreaking story of a war.

57. What was Nauru like before the Europeans came?

A. Rich and powerful.
B. Modern and open.
C. Peaceful and attractive.
D. Greedy and aggressive.

58. The ecological disaster in Nauru resulted from ______.

A. soil pollution
B. phosphate overmining
C. farming activity
D. whale hunting

59. Which of the following was a cause of Nauru's financial problem?

A. Its leaders misused the money.
B. It spent too much repairing the island.
C. Its phosphate mining cost much money.
D. It lost millions of dollars in the civil war.

60. What can we learn about Nauru from the last paragraph?

A. The ecological damage is difficult to repair.
B. The leaders will take the experts' words seriously.
C. The island was abandoned by the Nauruans.
D. The phosphate mines were destroyed.

Exercise

Unfortunately, the leaders _____(投资)the money unwisely and lost millions of dollars. In addition, they used millions more dollars for _____(个人花费). Soon people realized that they had a terrible problem—their phosphate was _____(耗尽). Ninety percent of their island was destroyed and they had nothing. By 2000, Nauru was _____(资金枯竭). Experts say that it would take _____(大约)$433,600,000 and more than 20 years to repair the island. This will probably never happen.

必背词汇

1. heartbreaking ['hɑ:tˌbreikiŋ ] adj. 令人悲伤的

2. consequence ['kɔnsikwəns ] n. 结果,后果;重大意义

3. remote [ri'məut ] adj. 偏远的

4. civilization [ˌsivilai'zeiʃən ] n. 文明

civil ['sivəl ] adj. 文明的;国内的

5. *element ['elimənt ] n. 要素,元素

6. mine [main ] v. 开矿,采矿 n.

7. *fertilizer ['fə:tiˌlaizə ] n. 肥料

8. *strip [strip ] v. 剥夺,剥去

strip mine 露天矿

9. material [mə'tiəriəl ] n. 原料,材料;物质

10. *invest [in'vest ] v. 投资,耗费

11. financially [fai'nænʃəli ] adv. 财政上

finance [fainæns ] n. 资金,财政

12. ruin ['ru:in ] v. 破产 ;毁坏

13. approximately [ə'prɔksimitli ] adv. 大约

14. greedy ['gri:di ] adj. 贪婪的

15. aggressive [ə'gresiv ] adj. 侵略性的,好斗的

16. ecological [i:kə'lɔʤikəl ] adj. 生态的

长难句分析

In fact, it found that the island of Nauru was nearly all phosphate, (which is a very important fertilizer for farming).

[分析] that...属于宾语从句;which...属于非限制性定语从句,修饰phosphate。

[翻译] 事实上,它发现瑙鲁岛上几乎到处都是磷酸盐——一种非常重要的农业肥料。

全文翻译

太平洋岛国瑙鲁曾经是一个美丽的地方。现在,这里是一个生态灾难区。瑙鲁令人悲伤的故事可能只有一个好的结果,那就是其他国家可以从它所犯的错误中汲取教训。

几千年来,波利尼西亚人生活在这个远离西方文明的遥远的瑙鲁岛上。1798年这里来了第一个欧洲人,John Fearn。他是“猎手号”捕鲸船的英国船长。他把这个岛称作快乐岛。

然而,由于瑙鲁岛太过偏远,最初他们和欧洲人的交流非常少。后来,捕鲸船和其他商人开始来岛上游览,带来了枪支和酒。这些东西破坏了岛上12个家族的社会平衡。十年内战爆发了,这使(岛上的)人口从1400人减少到了900人。

瑙鲁真正的麻烦开始于1899年。那时,一家英国的矿业公司在岛上发现了磷酸盐。事实上,它发现瑙鲁岛上几乎到处都是磷酸盐——一种非常重要的农业肥料。该公司开始开采磷酸盐。

磷酸盐矿不是在地下打洞开采,它是露天矿。当一个公司露天开采时,就要移除地面最上层的土壤,然后取走它想要的原料。露天开采彻底毁坏了土地。渐渐地,美丽的海岛瑙鲁开始看起来像月球了。

1968年,瑙鲁变成了世界上最富有的国家之一。每年政府都从磷酸盐上得到千百万美元的收入。

不幸的是,领导人的投资很不明智,损失了几百万美元。另外,他们还将数百万美元用于个人消费。很快,人们意识到他们面临着一个很糟糕的问题:他们的磷酸盐矿快要开采完了。海岛90%的面积已被毁坏,而他们手中却什么都没有剩下。到2000年,瑙鲁资金枯竭了。专家们说,修复该岛需要用二十多年的时间,花费大约四亿三千三百六十万美元。而这可能永远都不会发生了。

49. 2012浙江A【答案链接】

Easter(复活节)is still a great day for worship, candy in baskets and running around the yard finding eggs, but every year it gets quite a bit worse for bunnies.

And no, not because the kids like to pull their ears. The culprit is climate change, and some researchers found that rising temperatures are having harmful effects on at least five species of rabbit in the US.

Take the Lower Keys Marsh rabbit, for instance. An endangered species that lives in the Lower Florida Keys, this species of cottontail is a great swimmer—it lives on the islands!—but it is already severely affected by development and now by rising sea levels. According to the Center for Biological Diversity, an ocean level rise of only 0.6 meters will send these guys jumping to higher ground and a 0.9-meter rise would wipe out their habitat(栖息地)completely.

The snowshoe hare, on the other hand, has a color issue. Most of these rabbits change their fur color from white in the wintertime to brown in the summer, each designed to give them better cover from predators(捕食者). As the number of days with snow decreases all across the country, however, more and more bunnies are being left in white fur during brown dirt days of both fall and spring, making them an easier mark for predators. Researchers know that the color change is controlled by the number of hours of sunlight, but whether the rabbit will be able to adapt quick enough to survive is a big question. The National Wildlife Federation has reported that hunters have noticed their numbers are already markedly down.

American pikas or rock rabbits, a relative of rabbits and hares, might be the first of these species to go extinct due to climate change. About 7-8 inches long, pikas live high in the cool, damp mountains west of the Rocky Mountains. As global temperatures rise, they would naturally migrate(迁移)to higher ground—but they already occupy the mountaintops. They can't go any higher. The National Wildlife Federation reports that they might not be able to stand the new temperatures as their habitat heats up.

The volcano rabbit has the same problem. These rabbits live on the slopes of volcanoes in Mexico, and recent studies have shown that the lower range of their habitat has already shifted upward about 700 meters, but there are not suitable plants for them to move higher, so they are stuck in the middle. Scientists are concerned about their populations.

Native to the US, pygmy rabbits weigh less than 1 pound and live in the American West. They are believed to be the smallest rabbits in the world. Their habitats have been destroyed by development. Several populations, such as the Columbia Basin pygmy, almost went extinct and were saved by zoo breeding programs. Pygmy rabbits also rely on winter cover by digging tunnels through the snow to escape predators, but lesser snowfall is leaving them exposed.

All of this gives new meaning to dressing up in a giant bunny costume this Easter.

41. The writer mentions Easter at the beginning of the passage in order to ______.

A. show the importance of Easter Day
B. introduce the issue about bunnies
C. remind people of Easter traditions
D. discuss the relationship between Easter and bunnies

42. The word“culprit”(Paragraph 2) is closest in meaning to ______.

A. criminal
B. judge
C. victim
D. producer

43. According to the passage, some rabbits can now be easily discovered by predators because they ______.

A. are exposed to more skillful hunters
B. have moved to habitats with fewer plants
C. haven't adapted themselves to climate change
D. can't change their fur color into white in the fall and the spring

44. The problem faced by volcano rabbits and rock rabbits is that ______.

A. both are affected by less snow
B. both are affected by rising sea levels
C. neither can find enough food
D. neither can migrate to higher places

45. Which best describes the writer's tone in the passage?

A. Approving.
B. Concerned.
C. Enthusiastic.
D. Doubtful.

Exercise

The snowshoe hare, on the other hand, has a _____(毛色问题). Most of these rabbits change their fur color from white in the wintertime to brown in the summer, each _____(目的是)give them better cover from predators. As the number of days with snow decreases all across the country, however, more and more bunnies are being left in white fur during brown dirt days of both fall and spring, making them an _____(容易的目标)for predators. Researchers know that the color change is controlled by the number of hours of sunlight, but whether the rabbit will be able to _____(足够快地适应)survive is a big question. The National Wildlife Federation has reported that hunters have noticed their numbers are already _____(显著地)down.

必背词汇

1. *worship ['wə:ʃip ] n. 礼拜,崇拜

2. species ['spi:ʃiz ] n. 物种,种类

3. *instance ['instəns ] n. 例子,情况

4. wipe out 消除,摧毁

5. *issue ['iʃu ] n. 问题

6. *predator ['predətə ] n. 掠夺者,捕食者

7. adapt [ə'dæpt ] v. 适应;改编

adopt [ə'dɔpt ] v. 采取;收养

adjust [ə'ʤʌst ] v. 调节,适应

8. *markedly ['mɑ:kidli ] adv. 显著地

9. *extinct [iks'tiŋkt ] adj. 灭绝的

10. damp [dæmp ] adj. 潮湿的

11. occupy ['ɔkjupai ] v. 占领,占据

12. heat up 加热

13. shift [ʃift ] n./v. 移动,转移

14. suitable ['sju:təbl ] adj. 合适的

sustainable [sə'steinəbəl ] adj. 可持续的

15. concern [kən'sə:n ] v. 担心;涉及 n. 顾虑

16. *breed [bri:d ] v. 繁殖,养育

17. expose [iks'pəuz ] v. 揭露

18. *costume ['kɔstju:m ] n. 服装,戏服

19. victim ['viktim ] n. 受害者

长难句分析

As the number of days with snow decreases all across the country, however, more and more bunnies are being left in white fur during brown dirt days of both fall and spring, making them an easier mark for predators.

[分析] as...country属于原因状语从句;making...属于结果状语。

[翻译] 然而,由于全国各地有积雪的日子都在减少,在土壤为灰褐色的春季和秋季,越来越多的兔子还是披着白色的毛,这让它们更容易成为捕食者的猎物。

全文翻译

复活节依然是一个重要的礼拜节日,篮子里装着糖果,人们在院子里跑着寻找彩蛋,但是每年兔子的遭遇却越来越差了。

罪魁祸首不是孩子们喜欢扯它们的耳朵,而是气候变化。一些研究人员发现,不断升高的气温至少对五种美国兔子有不良影响。

就以下群岛的棉尾兔为例吧,它们是生活在佛罗里达下群岛濒临灭绝的物种。棉尾兔是游泳好手——它们就生活在岛上!但由于社会发展以及目前的海平面上升,棉尾兔已经受到了严重影响。生物多样性中心表示,海平面仅仅上升0.6米就会将这些动物赶到地势较高的地方,如果海平面上升0.9米,它们的栖息地将消失殆尽。

另一方面,雪鞋兔则面临着毛色问题。这些兔子大多夏天毛色是灰褐色的,一进入冬天,毛色就会变成白色,每一种变化都能保护它们躲过捕食者的猎杀。然而,由于全国各地有积雪的日子都在减少,在土壤为灰褐色的春季和秋季,越来越多的兔子还是披着白色的毛,这让它们更容易成为捕食者的猎物。研究人员知道,兔毛颜色的变化受控于日光照射的小时数,可是兔子能否快速适应这种变化从而幸存下来是一个大问题。全国野生动物联合会报告说,猎人已经注意到它们的数量已经明显减少。

美洲鼠兔,或叫岩兔,是家兔和野兔的近亲。由于气候变化,它们可能会最先面临灭绝。鼠兔大约只有7到8英寸长,生活在落基山脉西侧阴凉潮湿的山坡上。由于全球气温升高,它们自然会迁移到地势更高的地方——但它们已经占据了山顶,没有更高的地方了。全国野生动物联合会报告说,假如它们栖息地的气温不断上升,它们可能忍受不了这种新温度。

火山兔也面临着同样的问题。这些兔子生活在墨西哥城火山的山坡上。最近的研究表明,它们的栖息地下限范围已经向上移了约700米,但在更高的地方没有适合它们食用的植物,因此它们被卡在中间。科学家为它们的族群数量而担心。

侏儒兔原产于美国,体重不到1磅,生活在美国西部。它们被认为是世界上最小的兔子。发展已经破坏了它们的栖息地。它们有几个族群几近灭绝,如哥伦比亚盆地侏儒兔,幸好被动物园育种计划拯救才免遭灭绝。侏儒兔还依赖雪的掩护,它们在雪地里挖隧道以躲过捕食者,但降雪减少使它们更容易暴露。

所有这些都将赋予在今年的复活节穿巨型兔子戏服以新的意义。

50. 2013天津B【答案链接】

Last night's meteor(流星)shower left many people in the community dissatisfied and demanding answers. According to Gabe Rothschild, Emerald Valley's mayor, people gathered in the suburbs of the city, carrying heavy telescopes, expecting to watch the brightly burning meteors passing through the sky. What they found instead was a sky so brightened by the city's lights that it darkened the light of the meteors passing overhead.

“My family was so frustrated,”admitted town resident Duane Cosby.“We wanted to make this an unforgettable family outing, but it turned out to be a huge disappointment.”

Astronomers—scientists who study stars and planets—have been complaining about this problem for decades. They say that light pollution prevents them from seeing objects in the sky that they could see quite easily in the past. They call on people and the government to take measures to fight against it.

There is yet a population besides professional and amateur star observers that suffers even more from light pollution. This population consists of birds, bats, frogs, snakes, etc. For example, outdoor lighting severely affects migrating(迁徙的)birds. According to the International Dark-Sky Association,“100 million birds a year throughout North America die in crashes with lighted buildings and towers.”

Countless more animals casualties(伤亡)result from the use of artificial lighting. Clearly, people enjoy the benefits of lighting their evenings, but some scientists think it can be harmful for humans, too. They worry that exposure to light while sleeping can increase a person's chances of getting cancer.

Emerald Valley is only one community that is becoming aware of the negative effects of light pollution. For years, Flagstaff, Arizona, has enforced lighting regulations in its city in order to assist astronomers at the Lowell Observatory. Similar efforts have been made worldwide, and a movement is underway to remind us to turn off lights when we are not using them, so that other creatures can share the night.

41. It happened last night that ______.

A. the city's lights affected the meteor watching
B. the meteors flew past before being noticed
C. the city light show attracted many people
D. the meteor watching ended up a social outing

42. What do the astronomers complain about?

A. Meteor showers occur less often than before.
B. Their observation equipment is in poor repair.
C. Light pollution has remained unsolved for years.
D. Their eyesight is failing due to artificial lighting.

43. What is the author concerned about according to Paragraph 4?

A. Birds may take other migration paths.
B. Animals' living habits may change suddenly.
C. Varieties of animals will become sharply reduced.
D. Animals' survival is threatened by outdoor lighting.

44. Lighting regulations in Flagstaff, Arizona are put into effect to ______.

A. lessen the chance of getting cancer
B. create an ideal observation condition
C. ensure citizens a good sleep at night
D. enable all creatures to live in harmony

45. What message does the author most want to give us?

A. Saving wildlife is saving ourselves.
B. Great efforts should be made to save energy.
C. Human activities should be environmentally friendly.
D. New equipment should be introduced for space study.

Exercise

1. “My family was so _____(沮丧的),”admitted town resident Duane Cosby.“We wanted to make this an unforgettable family outing, but it _____(结果是)to be a huge disappointment.”

Astronomers—scientists who study stars and planets—have been _____(抱怨)about this problem for decades. They say that light pollution _____(阻止)them from seeing _____(对象)in the sky that they could see quite easily in the past. They call on people and the government to take measures to fight against it.

2. There is yet a population besides professional and amateur star observers that suffers even more from light pollution. This population consists of birds, bats, frogs, snakes, etc. For example, outdoor lighting severely affects migrating birds. According to the International Dark-Sky Association.“100 million birds a year throughout North America die in crashes with lighted buildings and towers.”

Countless more animals casualties result from the use of artificial lighting. Clearly, people enjoy the benefits of lighting their evenings, but some scientists think it can be harmful for humans, too. They worry that exposure to light while sleeping can increase person's chances of getting cancer.

译: _________________________

必背词汇

1. *community [kə'mju:niti ] n. 社区,社会

2. dissatisfied [ˌdis'sætisfaid ] adj. 感到不满的

3. demand [di'mɑ:nd ] v. 要求;命令

4. *suburb ['sʌbə:b ] n. 郊区

5. brighten ['braitn ] v. 使发亮

darken ['dɑ:kən ] v. 使变暗

lighten ['laitn ] v. 减轻;点亮

strengthen ['streŋθən ] v. 加强

6. *frustrated [frʌs'treitid ] adj. 沮丧的

7. turn out 结果是

8. object ['ɔbʤikt ] n. 对象,物体,目标 v. 反对,抗议

subject ['sʌbʤikt ] n. 主题,话题,学科 v. 使屈从于(to)

9. consist of 由…组成

compose [kəm'pəuz ] v. 组成;作曲;撰写

be made up of 由…组成

10. *migrate [mai'greit ] v. 迁徙,移往

11. crash [kræ∫ ] n. 坠落;碰撞,撞车 v. 碰撞

12. artificial [ɑ:ti'fiʃəl ] adj. 人工的;矫揉造作的

13. exposure [iks'pəuʒə ] n. 暴露

14. *enforce [in'fɔ:s ] v. 实施;强迫

15. regulation [regju'leiʃən ] n. 规章

16. assist [ə'sist ] v. 援助 n. 援助

17. remind [ri'maind ] v. 提醒

18. creature ['kri:tʃə ] n. 生物

19. end up 结束,最终成为

20. observation [ˌəbzə'veiʃən ] n. 观察

21. *threaten ['θretn ] v. 威胁

长难句分析

What they found instead was a sky so brightened by the city's lights that it darkened the light of the meteors passing overhead.

[分析] what...instead属于主语从句;so...that属于结果状语从句。

[翻译] 然而,他们看到的却是被城市的灯光映得如此明亮的天空,以至于从他们头顶划过的流星变得暗淡无光。


Similar efforts have been made worldwide, and a movement is underway (to remind us to turn off lights when we are not using them, so that other creatures can share the night).

[分析] when...them属于时间状语从句;so that...属于目的状语从句。

[翻译] 全世界也已做出了类似的努力,而且正在进行当中的一个运动就旨在提醒我们在不用灯时要关灯,以便其他生物也能享受夜晚。

全文翻译

昨晚的流星雨让社区里的很多人不满,他们急需获得解答。据翡翠谷的市长Gabe Rothschild说,人们聚集在城市的郊区,背着沉重的望远镜,期待看到熠熠生辉的流星划过天空。然而,他们看到的却是被城市的灯光映得如此明亮的天空,以至于从他们头顶划过的流星变得暗淡无光。

城镇居民Duane Cosby承认说:“我们一家人都很沮丧。我们本想令此成为一次难忘的家庭外出,但它最终却变成了一件令人特别失望的事。”

数十年间,研究星体的天文学家一直在抱怨这个问题。他们说,光污染使他们看不到很多年前可以在天空中轻易看到的物体。他们呼吁公众和政府采取措施抵制光污染。

但是除了观测流星雨的专业人士及业余人员之外,还有一个群体饱受光污染之苦。这个群体包括鸟类、蝙蝠、青蛙、蛇等。例如,户外照明严重影响迁徙的鸟类。根据国际暗天协会的消息,“每年有1亿只鸟在穿越北美时撞死在明亮的建筑物或高塔上。”

更多不计其数的动物的死亡源于人工照明。显然,人们享受夜晚照明的便利,但一些科学家认为,这对人类也是有害的。他们担心睡觉的时候暴露于灯光之下会增加人们患癌的几率。

翡翠谷是唯一一个意识到光污染带来的负面影响的社区。数年来,亚利桑那州的弗拉格斯塔夫地区一直实施照明条例,以协助洛威尔观察所的天文学家。全世界也已做出了类似的努力,而且正在进行当中的一个运动就旨在提醒我们在不用灯时要关灯,以便其他生物也能享受夜晚。

51. 2013辽宁B【答案链接】

Going green seems to be a fad(时尚)for a lot of people these days. Whether that is good or bad, we can't really say, but for the two of us, going green is not a fad but a lifestyle.

On April 22, 2011, we decided to go green every single day for an entire year. This meant doing 365 different green things, and it also meant challenging ourselves to go green beyond easy things. Rather than recycle and reduce our energy, we had to think of 365 different green things to do and this was no easy task.

With the idea of going green every single day for a year, Our Green Year started. My wife and I decided to educate people about how they could go green in their lives and hoped we could show people all the green things that could be done to help the environment. We wanted to push the message that every little bit helps.

Over the course of Our Green Year, we completely changed our lifestyles. We now shop at organic(有机的)stores. We consume less meat, choosing green food. We have greatly reduced our buying we don't need. We have given away half of what we owned through websites. Our home is kept clean by vinegar and lemon juice, with no chemical cleaners. We make our own butter, enjoying the smell of home-made fresh bread. In our home office anyone caught doing something ungreen might be punished.

Our minds have been changed by Our Green Year. We are grateful for the chance to have been able to go green and educate others. We believe that we do have the power to change things and help our planet.

60. What might be the best title for the passage?

A. Going Green
B. Protecting the Planet
C. Keeping Open-Minded
D. Celebrating Our Green Year

61. It was difficult for the couple to live a green life for the whole year because ______.

A. they were expected to follow the green fad
B. they didn't know how to educate other people
C. they were unwilling to reduce their energy
D. they needed to perform unusual green tasks

62. What did the couple do over the course of Our Green Year?

A. They tried to get out of their ungreen habits.
B. They ignored others' ungreen behavior.
C. They chose better chemical cleaners.
D. They sold their home-made food.

63. What can we infer from the last paragraph?

A. The government will give support to the green project.
B. The couple may continue their project in the future.
C. Some people disagree with the couple's green ideas.
D. Our Green Year is becoming a national campaign.

Exercise

Over the course of Our Green Year, we completely changed our lifestyle. We now shop at organic stores. We consume less meat, choosing green food. We have greatly reduced our buying we don't need. We have given away half of what we owned through websites. Our home is kept clean by vinegar and lemon juice, with no chemical cleaners. We make our own butter, enjoying the smell of home-made fresh bread. In our home office anyone caught doing something ungreen might be punished.

译: _________________________

必背词汇

1. *fad [fæd ] n. 时尚

fade [feid ] v. 褪色;变淡;凋谢;枯萎

2. entire [in'taiə ] adj. 全部的;完全的

completely [kəm'pli:tli ] adv. 完全地

3. task [tɑ:sk ] n. 任务;差事 v. 派给…工作

4. course [kɔ:s ] n. 过程;课程

5. consume [kən'sju:m ] v. 消耗,吃;消费

consumer [kən'sju:mə ] n. 消费者

6. grateful ['greitful ] adj. 感激的

7. perform [pə'fɔ:m ] v. 执行

8. ignore [iɡ'nɔ: ] v. 不顾,不理会

overlook [ˌəuvə'luk ] v. 忽视;眺望 n. 眺望

regardless of 忽视,忽略

disregard ['disri'gɑ:d ] v. 不理,不顾

9. campaign [kæm'pein ] n. 运动

长难句分析

My wife and I decided to educate people about (how they could go green in their lives) and hoped we could show people all the green things (that could be done to help the environment).

[分析] how...lives属于宾语从句;that...environment属于定语从句,修饰the green things。

[翻译] 我和妻子决定教人们如何在生活中做到绿色环保,并且期望向人们展示那些我们力所能及的环保行动。

全文翻译

如今,绿色环保对许多人来说是一种时尚。我们真的很难说这是好还是坏,但对于我们俩来说,绿色环保不是时尚,而是一种生活方式。

在2011年4月22日,我们决定每天都要过绿色生活,坚持一年的时间。这意味着做365件不一样的环保事情,同时也意味着我们要挑战自己,而不仅仅是做一些简单的环保活动。我们必须想出365件不同的环保事情去做,而不仅仅是循环利用和节约能源,这绝非易事。

怀着一年中的每一天都要绿色环保的想法,我们的绿色环保年开始了。我和妻子决定教人们如何在生活中做到绿色环保,并且期望向人们展示那些我们力所能及的环保行动。我们想传递这样的信息:每件小事都是有助益的。

在我们绿色环保年的过程中,我们完全改变了生活方式。现在我们在有机商店购物,吃的肉比以前要少,选择绿色食品。我们在很大程度上减少了那些不必要的采购,并且通过网站赠送出了我们的半数物品。我们家使用醋和柠檬汁来保持清洁,而不用化学清洁剂。我们自己做黄油,享受新鲜出炉的自制面包的香味。在我们的家庭办公室,任何被撞见做不环保的事情的人都可能会被处罚。

绿色环保年改变了我们的观念。对于能有机会过环保的生活和引导他人参与绿色环保,我们心存感激。我们相信自己确实有能力去改变一些事情,进而帮助我们的地球。

Table of contents

previous page start next page