高考英语阅读理解分类精选60篇

合肥新东方高考英语教研中心

社会生活
话题分析及词汇精选

社会生活类文章主要是以一个社会现象或问题为主题,并对此展开讨论,如介绍该现象或问题产生的影响,论述某个社会现象的利弊,或是提供解决方案等。文章主题的出现也很有规律——基本上均出现在文章第一段,甚至第一句话。因此,同学们在阅读文章时务必首先关注首段首句。

一、现象

如上文所说,社会生活类文章主要以某个社会现象或问题为话题。话题的内容包罗万象,小到风筝工厂、法律法则,大到人口迁移,乃至人之本性。

1. phenomenon [fə'nɑ:minən ] n. 现象

2. issue ['iʃju: ] n. 问题

3. concern [kən'sə:n ] n. 忧虑

4. law [lɔ: ] n. 法则,法律

5. regulation [ˌregju'leiʃən ] n. 规则

6. policy ['pɔlisi ] n. 政策

7. population shift 人口迁移

8. humanity [hju:'mæniti ] n. 人性

9. donation [dəu'neiʃən ] n . 捐赠

10. contribution [ˌkɔntri'bju:ʃən ] n. 捐赠

11. charity ['tʃæriti ] n. 慈善

二、起源

一个社会现象或问题的存在不会是偶然的,背后肯定有原因。现象的出现可能与个人行为的传播有关,也有可能受大环境的影响。

1. existence [ig'zistəns ] n. 存在

2. cause [kɔ:z ] n. 起因 v. 引起

3. explanation [ˌeksplə'neiʃən ] n. 解释

4. basis ['beisis ] n. 依据,基础

5. due to 因为

6. owing to 因为

7. individual [ˌindi'vidjuəl ] adj. 个人的

8. personal ['pə:sənl ] adj. 个人的,私人的

9. behavior [bi'heivjə ] n. 行为

10. spread [spred ] v. 传播

11. stem from 源于,来自于

12. circumstance ['sə:kəmstəns ] n. 环境

三、影响

无论产生于何种原因,现象或问题一旦出现,就必然会对社会产生各种各样的影响。这种影响可能是积极的,比如推动社会的发展,强化人们的心智;也可能是消极的,如带来更多的问题,从而给文化和经济的发展带来危机或阻碍。

1. affect [ə'fekt ] v. 影响

2. effect [i'fekt ] n. 影响

3. influence ['influəns ] n./v. 影响

4. lead to 导致,引发

5. consequence ['kɔnsikwəns ] n. 结果

6. positive ['pɔzitiv ] adj. 正面的,积极的

7. promote [prə'məut ] v. 促进

8. strengthen ['streŋθən ] v. 强化

9. mental ['mentl ] adj. 心理的,精神的

10. mentality [men'tæliti ] n. 心智

11. negative ['negətiv ] adj. 负面的,消极的

12. weaken ['wi:kən ] v. 削弱

13. threaten ['θretn ] v. 威胁

14. crisis ['kraisis ] n. 危机

15. obstacle ['ɔbstəkl ] n. 障碍

16. block [blɔk ] n. 障碍 v. 阻塞

四、观点

在高考阅读理解文章中所讨论的现象通常是有利也有弊的,作者的观点有多种可能性:赞同、反对、中立,甚至保留意见。

1. argument ['ɑ:gjumənt ] n. 论点,辩论

2. standpoint ['stændpɔint ] n. 观点

3. claim [kleim ] n. 断言

4. comment ['kɔment ] n./v. 评论

5. insist [in'sist ] v. 坚持(认为)

6. hold [həuld ] v. 持有(观点)

7. optimistic [ˌɔpti'mistik ] adj. 乐观的

8. advantage [əd'vɑ:ntiʤ ] n. 优势

9. approve of 赞成

10. in favour of 赞成

11. pessimistic [ˌpesi'mistik ] adj. 悲观的

12. critical ['kritikəl ] adj. 批评的

13. disadvantage [ˌdisəd'væntiʤ ] n. 劣势

14. oppose to 反对

15. object to 反对

16. disapprove of 反对

17. be against 反对

18. neutral ['nju:trəl ] adj. 中立的

19. reserved [ri'zə:vd ] adj . 保留意见的

20. indifferent [in'difrənt ] adj. 漠不关心的

21. controversial [ˌkɔntrə'və:ʃəl ] adj. 有争议的

五、解决

当一个现象或问题给社会带来不利影响时,人们就要通过商讨等方法提出解决方案。

1. negotiate [ni'gəuʃieit ] v. 商讨,协商

2. negotiation [niˌgəuʃi'eiʃən ] n. 商讨,协商

3. propose [prə'pəuz ] v. 提出

4. proposal [prə'pəuzəl ] n. 提议

5. put forward 提出

6. come up with 想出

7. recommend [ˌrekə'mend ] v. 建议

8. sort out 解决

9. work out 解决

10. figure out 解决

11. deal with 处理

12. handle ['hændl ] v. 处理

13. tackle ['tækl ] v. 处理

14. cope with 处理

15. solution [sə'lu:ʃən ] n. 解决方案

16. resolution [ˌrezə'lu:ʃən ] n. 解决方案

17. approach [ə'prəut∫ ] n. 方法

18. specific [spi'sifik ] adj. 具体的

19. broad [brɔ:d ] adj. 宽泛的

20. universal [ˌju:ni'və:səl ] adj. 通用的,普遍的

21. generalized ['ʤenərəlaizd ] adj. 普遍的

1. 2009北京C【答案链接】

How Room Designs Affect Our Work and Feelings

Architects have long had the feeling that the places we live in can affect our thoughts, feelings and behaviors. But now scientists are giving this feeling an empirical(经验的,实证的)basis. They are discovering how to design spaces that promote creativity, keep people focused and lead to relaxation.

Researches show that aspects of the physical environment can influence creativity. In 2007, Joan Meyers-Levy at the University of Minnesota, reported that the height of a room's ceiling affects how people think. Her research indicates that higher ceilings encourage people to think more freely, which may lead them to make more abstract connections. Low ceilings, on the other hand, may inspire a more detailed outlook.

In addition to ceiling height, the view afforded by a building may influence an occupant's ability to concentrate. Nancy Wells and her colleagues at Cornell University found in their study that kids who experienced the greatest increase in greenness as a result of a family move made the most gains on a standard test of attention.

Using nature to improve focus of attention ought to pay off academically, and it seems to, according to a study led by C. Kenneth Tanner, head of the School Design & Planning Laboratory at the University of Georgia. Tanner and his team found that students in classrooms with unblocked views of at least 50 feet outside the window had higher scores on tests of vocabulary, language arts and maths than did students whose classrooms primarily overlooked roads and parking lots.

Recent study on room lighting design suggests that dim(暗淡的)light helps people to loosen up. If that is true generally, keeping the light low during dinner or at parties could increase relaxation. Researchers of Harvard Medical School also discovered that furniture with rounded edges could help visitors relax.

So far scientists have focused mainly on public buildings.“We have a very limited number of studies, so we're almost looking at the problem through a straw(吸管) ”, architect David Allison says.“How do you take answers to very specific questions and make broad, generalized use of them? That's what we're all struggling with.”

64. What does Joan Meyers-Levy focus on in her research?

A. Light.
B. Ceilings.
C. Windows.
D. Furniture.

65. The passage tells us that ______.

A. the shape of furniture may affect people's feelings
B. lower ceilings may help improve students' creativity
C. children in a dim classroom may improve their grades
D. students in rooms with unblocked views may feel relaxed

66. The underlined sentence in the last paragraph probably means that ______.

A. the problem is not approached step by step
B. the researches so far have faults in themselves
C. the problem is too difficult for researchers to detect
D. research in this area is not enough to make generalized patterns

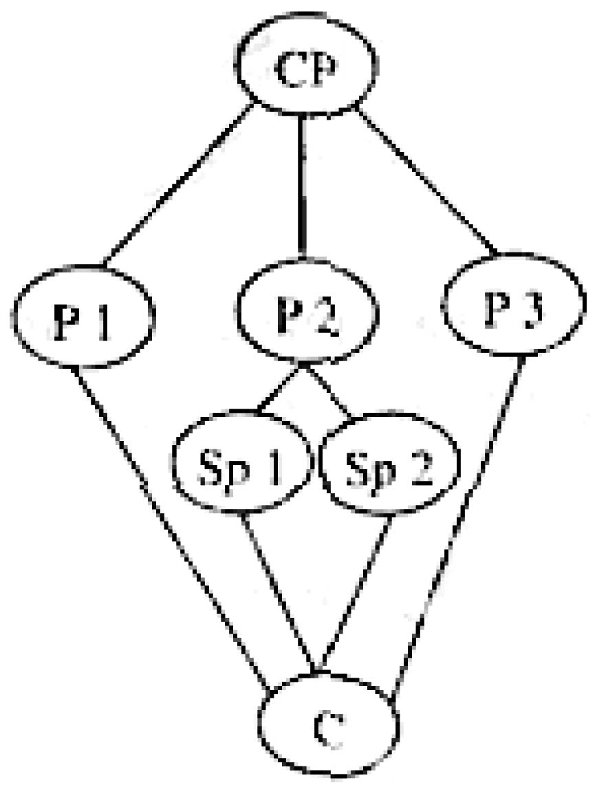
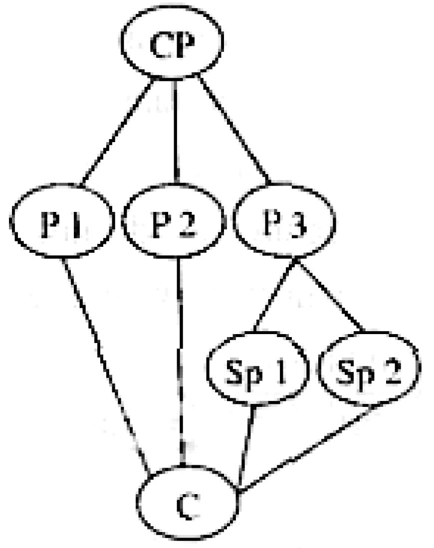
67. Which of the following shows the organization of the passage?

A. 016
B. 016-2
C. 016-3
D. 016-4

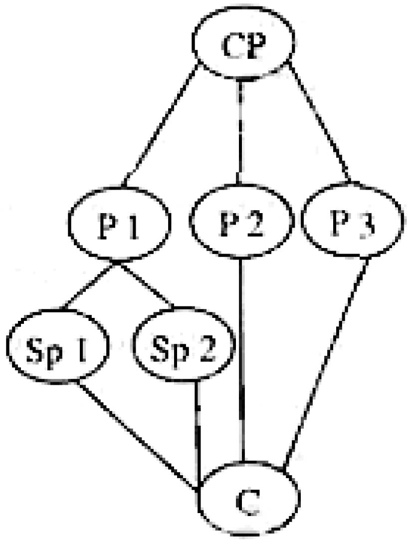
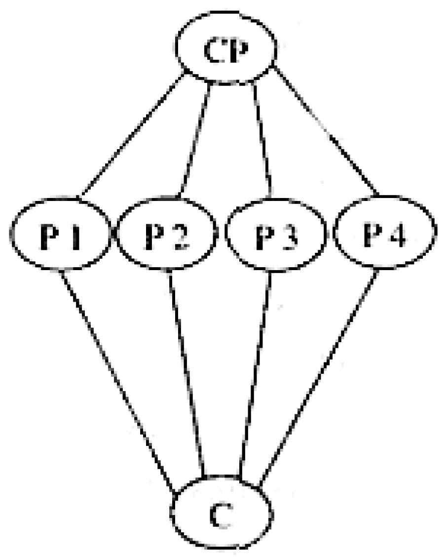
CP: Central Point P: Point SP: Sub-point(次要点) C: Conclusion

Exercise

Using nature to improve focus of attention ought to _____(取得成功)academically, and it seems to, according to a study led by C. Kenneth Tanner, head of the School Design & Planning Laboratory at the University of Georgia. Tanner and his team found that students in classrooms with _____(开阔的)views of at least 50 feet outside the window had higher scores on tests of vocabulary, language arts and maths than did students whose classrooms primarily _____(俯瞰)roads and _____(停车场).

必背词汇

1. architect ['ɑ:kitekt ] n. 建筑师

architecture ['ɑ:kitektʃə ] n. 建筑学

2. *empirical [em'pirikəl ] adj. 经验主义的;经验的

3. *outlook ['autluk ] n. 观点

4. afford [ə'fɔ:d ] v. 提供 ;花费得起

5. *occupant ['ɔkjupənt ] n. 居住者

6. pay off 取得成功

7. *unblocked adj. 未被拦阻的,开阔的

8. *primarily [prai'mərili ] adv. 主要地

9. lots n. 场地 ,许多

10. loosen up 放松

relaxation [ˌri:læk'seiʃən ] n. 放松

11. *generalize ['ʤenərəlaiz ] v. 概括,归纳

12. *detect [di'tekt ] v. 察觉,发现

detective [di'tektiv ] n. 侦探

discover [dis'kʌvə ] v. 发现

*unclose [ʌn'kləuz ] v. 揭开,打开

*unfold [ʌn'fəuld ] v. 展开,打开

长难句分析

(Using nature to improve focus of attention) ought to pay off academically, and it seems to, according to a study led by C. Kenneth Tanner, (head of the School Design & Planning Laboratory at the University of Georgia).

[分析] Using...attention为主语;head...Georgia是Tanner的同位语。

[翻译] 运用自然环境改善关注的焦点应该在学术上取得成功,而且根据由佐治亚大学学术设计与规划实验室的负责人C. Kenneth Tanner主持的一项研究显示,它似乎是这样的。


Tanner and his team found that students in classrooms (with unblocked views of at least 50 feet outside the window) had higher scores on tests of vocabulary, language arts and maths than did students (whose classrooms primarily overlooked roads and parking lots).

[分析] with...window修饰classrooms,whose...lots修饰第二个students;overlook为从句中的谓语动词,意思为“俯瞰”。

[翻译] Tanner和他的研究小组发现,窗外至少有50英尺畅通视野的教室里的学生比那些俯瞰到的主要是道路和停车场的教室里的学生在词汇、语言艺术和数学的测试中会取得更高的分数。

全文翻译

房间设计是如何影响我们的工作和感觉的?

长久以来,建筑师都觉得我们生活的地方会影响我们的思想、感觉和行为,但现在科学家正在给这种感觉一个实证基础。他们正在发掘如何设计能促进创造力、使人们保持精力集中并放松的空间。

研究表明,物质环境的各个方面均可以影响创造力。2007年,美国明尼苏达大学的Joan Meyers-Levy在一份报告中说,房间天花板的高度影响人们如何思考。她的研究表明,更高的天花板促进人们更自由地思考,这样可能使人们进行更抽象的联系。另一方面,低的天花板可能会激发出人们更详细的见解。

除了天花板的高度,建筑物所提供的视野可能会影响到住户集中注意力的能力。Nancy Wells和她在康奈尔大学的同事在研究中发现,那些因为搬家而经历了绿化环境最大幅度提高的孩子们,在注意力的水平测试中成绩提高得最多。

运用自然环境改善关注的焦点应该在学术上取得成功,而且根据由佐治亚大学学术设计与规划实验室的负责人C. Kenneth Tanner主持的一项研究显示,它似乎是这样的。Tanner和他的研究小组发现,窗外至少有50英尺开阔视野的教室里的学生比那些在教室里俯瞰到的主要是道路和停车场的学生在词汇、语言艺术和数学的测试中会取得更高的分数。

最近一项关于室内照明设计的研究表明,暗淡的灯光有助于人们放松。如果大体上确实如此,那么在晚宴或聚会上保持暗的光线可以增加放松感。哈佛医学院的研究人员还发现,带有圆角边缘的家具可以帮助来访者放松心情。

迄今为止,科学家们主要关注的是公共建筑领域。“我们的研究数量非常有限,因此,我们几乎是在管中窥豹。”建筑师David Allison说。“该如何广泛而普遍地运用具体问题的答案呢?这是我们一直努力解决的问题。”

2. 2009湖北E【答案链接】

Sunday is more like Monday than it used to be. Places of business that used to keep daytime“business hours”are now open late into the night. And on the Internet, the hour of the day and the day of the week have become irrelevant(不相关的). A half century ago in the United States, most people experienced strong and precise dividing lines between days of rest and days of work, school time and summer time. Today the boundaries still exist, but they seem not clear.

The law in almost all states used to require stores to close on Sunday; in most, it no longer does. It used to keep the schools open in all seasons except summer; in most, it still does. And whether the work week should strengthen its legal limits, or whether it should become more“flexible,”is often debated. How should we, as a society, organize our time? Should we go even further in relaxing the boundaries of time until we live in a world in which every minute is much like every other?

These are not easy questions even to ask. Part of the difficulty is that we rarely recognize the“law of time”even when we meet it face to face. We know as children that we have to attend school a certain number of hours, a certain number of days, a certain number of years—but unless we meet the truant officer(学监), we may well think that we should go to school due to social custom and parents' demand rather than to the law. As adults we are familiar with“extra pay for overtime working,”but less familiar with the fact that what constitutes(构成)“overtime”is a matter of legal definition. When we turn the clock forward to start daylight-saving time, have we ever thought to ourselves:“Here is the law in action”? As we shall see, there is a lot of law that has great influence on how we organize and use time: compulsory education law, overtime law, and daylight-saving law—as well as law about Sunday closing, holidays, being late to work, time zones, and so on. Once we begin to look for it, we will have no trouble finding a law of time to examine and assess.

67. By saying“Sunday is more like Monday than it used to be”, the writer means that ______.

A. work time is equal to rest time
B. many people have a day off on Monday
C. it is hard for people to decide when to rest
D. the line between work time and rest time is unclear

68. The author raises the questions in Paragraph 2 to introduce the fact that people ______.

A. fail to make full use of their time
B. enjoy working overtime for extra pay
C. are unaware of the law of time
D. welcome flexible working hours

69. According to the passage, most children tend to believe that they go to school because they ______.

A. need to acquire knowledge
B. have to obey their parents
C. need to find companions
D. have to observe the law

70. What is the main idea of the passage?

A. Our life is governed by the law of time.
B. How to organize time is not worth debating.
C. New ways of using time change our society.
D. Our time schedule is decided by social customs.

Exercise

1. The law in almost all states _____(过去常常)require stores to close on Sunday; in most, it no longer does. It used to keep the schools open in all seasons except summer; in most, it still does. And whether the work week should _____(加强法律限制), or whether it should become more“_____(灵活的)”, is often debated. How should we, as a society, organize our time? Should we go even further in relaxing the _____(界限)of time until we live in a world in which every minute is much like every other?

2. As we shall see, there is a lot of law that has great influence on how to organize and use time: compulsory education law, overtime law, and daylight-saving law—as well as law about Sunday closing, holidays, being late to work, time zones, and so on. Once we begin to look for it, we will have no trouble finding a law of time to examine and assess.

译: _________________________

必背词汇

1. *irrelevant [i'relivənt ] adj. 不相关的

relevant ['relivənt ] adj. 相关的

2. boundary ['baundəri ] n . 边界,界限

3. flexible ['fleksəbl ] adj. 灵活的

4. relax [ri'læks ] v. 放宽 ,放松

5. *constitute ['kɔnstitju:t ] v. 构成

*constitution [ˌkɔnsti'tju:ʃən ] n. 宪法;组织

6. *definition [ˌdefi'niʃən ] n. 定义

*definite ['definit ] adj. 明确的

*definitely ['definitli ] adv. 肯定地

7. compulsory [kəm'pʌlsəri ] adj. 强制的;义务的

8. *assess [ə'ses ] v. 评估

assessment [ə'sesmənt ] n. 评价

9. companion [kəm'pænjən ] n./v. 陪伴

10. govern ['ɡʌvən ] v. 管理

government ['ɡʌvənmənt ] n. 政府

长难句分析

We know (as children) (that we have to attend school a certain number of hours, a certain number of days, a certain number of years)—but (unless we meet the truant officer), we may well think [that we should go to school (due to social custom and parents' demand rather than to the law)].

[分析] as children是状语,第一个that...years是know的宾语,unless...officer是条件状语;第二个that...law是think的宾语,due to...the law是原因状语。

[翻译] 我们从儿时就知道,我们上学要花若干小时、若干天、若干年。但是,除非我们碰上学监,否则,我们很可能认为,我们应该去上学是由于社会习俗和家长要求,而不是因为时间法则。

全文翻译

现在的星期天不再像以前那样,而更像是星期一了。过去一直坚持白天为“营业时间”的商业场所,现在则营业到深夜。而且在互联网上,几点钟和星期几已变得不相关了。半个世纪以前,大多数美国人对休息日和工作日、上学和放假的界限划分得非常精确。如今这些界限依然存在,但它们似乎并不那么清晰了。

过去,几乎所有州的法律均要求商店周日不营业,现在大多数州已不这么要求;过去,法律规定学校除夏天以外的其他季节须保持开放,现在大多数州仍在实行这种规定。工作周是否应通过法律加强限制,或是否应更加“灵活”,这一点经常受到争论。作为一个社会,我们应如何规划我们的时间?我们应该进一步放宽时间的界限,直到我们生活在一个每一分钟都极其相似的世界里吗?

甚至连提出这些问题来都不那么容易。部分困难在于:我们很难辨别出“时间法则”,即使我们面对面地碰到它。我们从儿时就知道,我们上学要花若干小时、若干天、若干年。但是,除非我们碰上学监,否则,我们很可能认为,我们应该去上学是由于社会习俗和家长要求,而不是因为时间法则。作为成年人,我们熟悉“加班要付加班费”,但不熟悉这样一个事实——“加班时间”由什么构成是一个法律定义的问题。当我们把时钟向前拨以开始夏令时的时候,我们可曾扪心自问:“这就是正在起作用的时间法则?”正如我们将会看到的那样,有很多法则对于我们如何规划与利用时间影响巨大:义务教育法、加班法、夏令时法则,以及关于星期天不得营业、节假日、上班迟到、时区等等的法则。一旦我们开始寻找这种法则,我们将毫无困难地找到一个时间法则并以它为规范来审查和评估。

3. 2009北京E【答案链接】

Camping wild is a wonderful way to experience the natural world and, at its best, it makes little environmental influence. But with increasing numbers of people wanting to escape into the wilderness, it is becoming more and more important to camp unobtrusively(不引人注目地)and leave no mark.

Wild camping is not permitted in many places, particularly in crowded lowland Britain. Wherever you are, find out about organizations responsible for managing wild spaces, and contact them to find out their policy on camping and shelter building. For example, it is fine to camp wild in remote parts of Scotland, but in England you must ask the landowner's permission, except in national parks.

Camping is about having relaxation, sleeping outdoors, experiencing bad weather, and making do without modern conveniences. A busy, fully-equipped campsite(野营地)seems to go against this, so seek out smaller, more remote places with easy access to open spaces and perhaps beaches. Better still, find a campsite with no road access: walking in makes a real adventure.

Finding the right spot to camp is the first step to guaranteeing a good night's sleep. Choose a campsite with privacy and minimum influence on others and the environment. Try to use an area where people have obviously camped before rather than creating a new spot. When camping in woodland, avoid standing dead trees, which may fall on a windy night. Avoid animal runs and caves, and possible homes of biting insects. Make sure you have most protection on the windward side. If you make a fire, do so downwind of your shelter. Always consider what influence you might have on the natural world. Avoid damaging plants. A good campsite is found, not made—changing it should be unnecessary.

72. You needn't ask for permission when camping in ______.

A. national parks in England
B. most parts of Scotland
C. crowded lowland Britain
D. most parts of England

73. The author thinks that a good campsite is one ______.

A. with easy access
B. used previously
C. with modern conveniences
D. far away from beaches

74. The last paragraph mainly deals with ______.

A. protecting animals
B. building a campfire
C. camping in woodland
D. finding a campsite with privacy

75. The passage is mainly about ______.

A. the protection of campsites
B. the importance of wild camping
C. the human influence on campsites
D. the dos and don'ts of wild camping

Exercise

1. Camping is about having _____(放松), sleeping outdoors, experiencing bad weather, and making do without modern _____(便利). A busy, _____(装备齐全的)campsite seems to go against this, so _____(找出)smaller, more remote places with easy _____(通道)to open spaces and perhaps beaches. Better still, find a campsite with no road access: walking in makes a real adventure.

2. Finding the right spot to camp is the first step to guaranteeing a good night's sleep. Choose a campsite with privacy and minimum influence on others and the environment. Try to use an area where people have obviously camped before rather than creating a new spot. When camping in woodland, avoid standing dead trees, which may fall on a windy night. Avoid animal runs and caves, and possible homes of biting insects.

译: _________________________

必背词汇

1. *wilderness ['wildənis ] n. 荒野

2. *unobtrusively [ˌʌnəb'tru:sivli ] adv. 不显眼地,不引人注目地

3. shelter ['ʃeltə ] n. 帐篷;遮蔽物 v. 掩护

4. permission [pə'miʃən ] n. 允许

5. seek [si:k ] v. 寻找

6. access ['ækses ] n. 途径;通道 v. 接近

7. guarantee [ˌɡærən'ti: ] v. 保证

8. *windward ['windwəd ] adj. 迎风的

9. *downwind [daun'wind ] adj. 下风向的,顺风的

10. previously ['pri:vjəsli ] adv. 以前地

长难句分析

A busy, fully-equipped campsite seems to go against this, so seek out smaller, more remote places (with easy access to open spaces and perhaps beaches).

[分析] seek out...是祈使句;with...beaches作places的定语。

[翻译] 一个繁忙的、设备齐全的野营地似乎有悖于此,所以最好寻找小一些的、更加偏远的,并且容易到达开阔空间的地方,例如沙滩。

全文翻译

野外露营是体验大自然的一种极好的方式,在最理想的情况下,这种方式几乎不会对环境造成任何影响。但是,随着越来越多的人想要逃入原野,低调且不留痕迹的野营就变得越来越重要。

很多地方不允许野外露营,尤其在人口密集的不列颠低地。不论你在哪里,先要找到负责野外管理的组织,和他们联系以便了解关于露营和帐篷搭建的政策。例如,在苏格兰偏远地区是允许野营的,但在英格兰,除国家公园外,野营必须要经过土地所有者的允许。

露营就是放松身心,住在户外,体验恶劣的天气,在没有便利的现代化设施的环境中生活。一个繁忙的、设备齐全的野营地似乎有悖于此,所以最好寻找小一些的、更加偏远的,并且容易到达开阔空间的地方,例如沙滩。不过,更好的方式是选择一个不通公路的野营地:徒步走进那里就是一次真正的探险旅行。

找到合适的露营地是保证睡个好觉的第一步。选择隐蔽且对他人和环境影响都很小的野营地。尝试选择以前明显有别人露营过的地方,而不要新开辟一块地方。在森林中露营时,要远离矗立的枯树,因为枯树很有可能在刮风的夜晚倒下。远离动物出没的路径、洞穴或者可能是咬人昆虫的巢穴的地方。在迎风面要做好防护措施。生火时要选择帐篷的下风向。要时常考虑你可能对自然界造成的影响。避免破坏植被。一个好的露营地是大家找到的,而不是创造出来的——我们没有必要去改造它。

4. 2010天津D【答案链接】

To err is human. To blame the other guy is even more human.

Common sense is not all that common.

Why tell the truth when you can come up with a good excuse?

These three popular misquotes(戏谑的引语)are meant to be jokes, and yet they tell us a lot about human nature. To err, or to make mistakes, is indeed a part of being human, but it seems that most people don't want to accept the responsibility for having made a mistake. They naturally look for someone else who could be responsible for the problem. Perhaps it is the natural thing to do. The original quote about human nature went like this:“To err is human, to forgive, divine(神圣的).”This saying mirrors an ideal: people should be forgiving of others' mistakes. Instead, we tend to do the opposite—find someone else to pass the blame on to. However, taking responsibility for something that went wrong is a mark of great maturity.

Common sense is what we call clear thought. Having common sense means having a good general plan that will make things work well, and it also means staying with the plan. Common sense tells you that you take an umbrella out into a rainstorm, but you leave the umbrella home when you hear a weather forecast for sunshine. Common sense does not seem to be common for large organizations, because there are so many things going on that one person cannot be in charge of everything. People say that in a large company,“the right hand does not know what the left hand is doing.”

And what is wrong with a society that thinks that making up a good excuse is like creating a work of art? One of the common problems with making excuses is that people, especially young people, get the idea that it's okay not to be totally honest all the time. There is a corollary(直接推论)to that: if a good excuse is“good”even if it isn't honest, then where is the place of the truth?

51. According to the passage, which of the following seems the most human?

A. To search for truth.
B. To achieve one's ideal.
C. To make fun of others' mistakes.
D. To criticize others for one's own error.

52. According to the author, what is a sign of a man's maturity?

A. Doing things his own way.
B. Bearing responsibility for his mistakes.
C. Making as few mistakes as possible.
D. Thinking seriously about his wrongdoings.

53. Which of the following is NOT based on common sense?

A. A man tries to take charge of everything in a large company.
B. A student goes out with an umbrella in stormy weather.
C. A company's next move follows a good plan.
D. A lawyer acts on fine judgments.

54. What is the author's opinion about a good excuse?

A. Making a good excuse is sometimes a better policy.
B. Inventing a good excuse needs creative ideas.
C. A good excuse is as rewarding as honesty.
D. Bitter truth is better than a good excuse.

55. What would be the best title for his passage?

A. A Mirror of Human Nature
B. To Blame or to Forgive
C. A Mark of Maturity
D. Truth or Excuse

Exercise

1. This saying _____(反映出)an ideal: people should be _____(原谅的)of others' mistakes. Instead, we tend to do the _____(相反的)—find someone else to pass the _____(责备)on to. However, _____(承担责任)for something that went wrong is a mark of great _____(成熟).

2. To err is human. To blame the other guy is even more human.

Common sense is not all that common.

Why tell the truth when you can come up with a good excuse?

译: _________________________

必背词汇

1. *err [ə: ] v. 犯错

2. *quote [kwəut ] n. 引用

3. *divine [di'vain ] adj. 神圣的,极好的

extraordinary [iks'trɔ:dnri ] adj. 非凡的

remarkable [ri'mɑ:kəbl ] adj. 非凡的

4. maturity [mə'tjuəriti ] n. 成熟

mature [mə'tjuə ] adj . 成熟的

5. stay with 坚持

insist on 坚持

persist in 坚持

长难句分析

One of the common problems (with making excuses) is that people, especially young people, get the idea (that it's okay not to be totally honest all the time).

[分析] with making excuses修饰problems;that...time解释idea的内容。

[翻译] 一个常见的关于找借口的问题是,人们,尤其是年轻人,接受的认知是不需要在任何时候都完完全全地诚实。

全文翻译

犯错是人之常情,(犯了错)责怪别人更是人之常情。

常识也并不总是那么常见。

当你可以想到一个好借口的时候干嘛要说实话呢?

这三句流行的戏谑的引语本是想逗人一笑的,但它们还向我们展现了很多关于人性的东西。做错事,或者说犯错误,事实上是做人的一部分,但是似乎很多人都不愿承担犯错之后要负的责任。他们本能地将责任推卸给其他人。或许这是很自然的事。最初描述人性的句子是这样的:“人孰无过?心存宽恕,就是圣洁。”这句名言反映了一种理想状态:人们应该原谅别人犯的错。然而,我们却倾向于做相反的事——找个人,把责任推给他。但是,对做错的事负责才是成熟的标志。

常识是我们通常所说的显而易见的看法。有常识意味着有一个大体的计划让事情进展顺利,同时它也意味着要坚持这个计划。常识告诉你,下雨时要带伞出门,而当天气预报说天晴时,则把伞留在家里。对于大型机构来说,常识似乎并不那么常见,因为有太多的事情要处理,一个人不可能掌管所有的事宜。人们说,在大公司里,“右手是不知道左手在做什么的”。

人们认为编造一个好的借口就像是创造一件艺术品一样,这个社会到底是怎么了?一个常见的关于找借口的问题是,人们,尤其是年轻人,接受的认知是不需要在任何时候都完完全全地诚实。由此就有一个直接推论:如果一个好借口的标准是“好”却不诚实,那么真理被置于何地呢?

5. 2011福建B【答案链接】

For five days, Edmonton's Downtown Park is transformed into one huge stage where artists are able to share their talents, and where people are able to celebrate and enjoy themselves. Since its beginning in 1980, the Edmonton Folk Music Festival has been commemorating(纪念)the true feeling of what folk music is all about and that's the traditional togetherness(友爱)that is felt when people gather to share stories and feelings through song.

This year will be the sixth year when volunteer Riedel will be offering up her time to the festival.“People coming off a busy spring and summer have a moment of relaxation,”Riedel said.“It's really easy to relax, and it's great seeing family and friends have fun together.”These families and friends come from all different kinds of musical tastes. People who take pleasure in Blues are there, so are people who love Bluegrass. This festival does its best to develop everyone's musical interests.

With so many years of experience, the festival has become a well-oiled machine, and does whatever it can to make attendees feel as comfortable as possible. There are free water stations throughout the venue(举办地)for people to fill up their travel cups. When people buy food, reusable dishes are given a $2 plate fee, but that is returned when the plate is brought back.

The festival has completely sold out of tickets, and in record time. But with big names such as Van Morrison and Jakob Dylan, it's easy to see how that was going to happen. There is no parking area during the festival, so using the Park & Ride system or Edmonton Transit is highly recommended. A bike lock-up area is provided and will be available Thursday until Sunday one hour before the gates open until 45 minutes after the gates close.

The Edmonton Folk Music Festival begins on Wednesday, Aug. 4 with Van Morrison playing the special donation fund(基金)concert, and will finish up on Sunday, Aug. 8.

60. The Edmonton Folk Music Festival is held mainly to ______.

A. gather people with different musical tastes
B. remind people of the real sense of folk music
C. exhibit the good voices of great talents in folk music
D. collect old stories of folk music

61. Which of the following is TRUE according to the passage?

A. Riedel has volunteered for the festival for at least 5 years.
B. It's hard for people to appreciate Blues.
C. It costs people a little to fill up their cups from water stations.
D. People have to pay $2 for a plate of food.

62. We can learn from the passage that ______.

A. people can get tickets easily for the festival
B. the Edmonton Folk Music Festival is well organized
C. driving one's own car to the festival is highly recommended
D. bikes are available at the festival from Wednesday to Sunday

63. What would the best title for this passage?

A. Folk Music of Blues
B. One Festival For All
C. Festival for Family Gathering
D. Edmonton's Downtown Park

Exercise

1. This year will be the sixth year when _____(志愿者)Riedel will be _____(提供)her time to the festival.“People coming off a busy spring and summer have a moment of _____(放松),”Riedel said.“It's really easy to relax, and it's great seeing family and friends have fun together.”These families and friends come from all different kinds of musical tastes. People who _____(喜欢)Blues are there, so are people who love Bluegrass. This festival does its best to _____(培养每个人的音乐兴趣).

With so many years of experience, the festival has become a well-oiled machine, and does whatever it can to make attendees feel as comfortable as possible. There are _____(免费的)water stations throughout the venue for people to _____(装满)their travel cups. When people buy food, _____(可重复使用的盘子)are given a $2 plate fee, but that is returned when the plate is brought back.

2. The festival has completely sold out of tickets, and in record time. But with big names such as Van Morrison and Jakob Dylan, it's easy to see how that was going to happen. There is no parking area during the festival, so using the Park & Ride system or Edmonton Transit is highly recommended. A bike lock-up area is provided and will be available Thursday until Sunday one hour before the gates open until 45 minutes after the gates close.

译: _________________________

必背词汇

1. *transform [træns'fɔ:m ] v. 改变,转化

*transfer [træns'fə: ] v. 转移,转让

*transmit [trænz'mit ] v. 传输,传播

transport [træns'pɔ:t ] v . 运输,运送

2. *commemorate [kə'meməreit ] v. 纪念,庆祝

*memorize ['meməraiz ] v. 记忆

*memorial [mi'mɔ:riəl ] n. 纪念馆

*memorable ['memərəbl ] adj. 难忘的,值得纪念的

3. come off 脱离

4. well-oiled adj. 运转良好的

5. *attendee [ə'tendi: ] n. 参加者,出席者

6. *venue ['venju: ] n. 举办地

7. donation [dəu'neiʃən ] n. 捐赠

contribution [ˌkɔntri'bju:ʃən ] n. 捐赠,贡献

8. exhibit [ig'zibit ] v. 展示,展览

exhibition [ˌeksi'biʃən ] n. 展览

*exposition [ˌekspə'ziʃən ] n. 展览

9. collect [kə'lekt ] v. 收集;

10. appreciate [ə'pri:ʃieit ] v. 欣赏 ;感谢

全文翻译

在五天时间里,埃德蒙顿市区公园摇身变成了一个巨型舞台,在这座舞台上,艺术家们能够分享他们的才华,人们能够一起庆祝,度过一段愉快的时光。自1980年初次举办以来,埃德蒙顿民谣音乐节一直在纪念民谣音乐本质的真情实感,而这便是人们聚集在一起通过音乐分享故事与情感的传统友爱之情。

今年将是志愿者Riedel第六年为音乐节贡献自己的时间。他说,“那些从繁忙的春季与夏季逃离出来的人们将会度过片刻轻松的时光。放松是件容易的事情,并且看到家人和朋友们在一起开心地玩闹感觉很棒。”这些家人与朋友们的音乐喜好各不相同。喜欢布鲁斯音乐的人会参加,喜欢蓝草音乐的人也会参加。埃德蒙顿民谣音乐节尽最大的努力培养每个人对音乐的兴趣。

凭借多年的经验,该音乐节已成为一台运转良好的机器,尽其所能让参加者收获无尽的舒适感。音乐节场地内到处都有免费水站供观众装满自己的旅行杯。人们买食物时要为可再利用碟子支付2美元的餐碟费,但会在还碟子时退回。

本届音乐节的门票已全部售罄,并打破了最短时间售罄的纪录。但是在有Van Morrison与Jakob Dylan等大牌的前提下,出现这种情况也在意料之中。音乐节期间没有停车区,因此我们强烈建议采用停车换乘系统或埃德蒙顿交通系统。音乐节将会提供一个自行车停车区,并且从周四到周日在每天开门前一小时至关门后四十五分钟内供人们使用。

埃德蒙顿民谣音乐节将伴随着Van Morrison的特别捐赠基金演唱会于八月四日(周三)开幕,并将于八月八日(周日)落下帷幕。

6. 2011上海C【答案链接】

Human remains of ancient settlements will be reburied and lost to science under a law that threatens research into the history of humans in Britain, a group of leading archaeologists(考古学家)says. In a letter addressed to the justice secretary, Ken Clarke, 40 archaeologists write of their“deep and widespread concern”about the issue. It centers on the law introduced by the Ministry of Justice in 2008 which requires all human remains unearthed in England and Wales to be reburied within two years, regardless of their age. The decision means scientists have too little time to study bones and other human remains of national and cultural significance.

“Your current requirement that all archaeologically unearthed human remains should be reburied, whether after a standard period of two years or a further special extension, is contrary to basic principles of archaeological and scientific research and of museum practice,”they write.

The law applies to any pieces of bone uncovered at around 400 dig sites, including the remains of 60 or so bodies found at Stonehenge in 2008 that date back to 3,000 BC. Archaeologists have been granted a temporary extension to give them more time, but eventually the bones will have to be returned to the ground.

The arrangements may result in the waste of future discoveries at sites such as Happisburgh in Norfolk, where digging is continuing after the discovery of stone tools made by early humans 950,000 years ago. If human remains were found at Happisburgh, they would be the oldest in northern Europe and the first indication of what this species was. Under the current practice of the law those remains would have to be reburied and effectively destroyed.

Before 2008, guidelines allowed for the proper preservation and study of bones of sufficient age and historical interest, while the Burial Act 1857 applied to more recent remains. The Ministry of Justice assured archaeologists two years ago that the law was temporary, but has so far failed to revise it.

Mike Parker Pearson, an archaeologist at Sheffield University, said:“Archaeologists have been extremely patient because we were led to believe the ministry was sorting out this problem, but we feel that we cannot wait any longer.”

The ministry has no guidelines on where or how remains should be reburied, or on what records should be kept.

72. According to the passage, scientists are unhappy with the law mainly because ______.

A. it is only a temporary measure on the human remains
B. it is unreasonable and thus destructive to scientific research
C. it was introduced by the government without their knowledge
D. it is vague about where and how to rebury human remains

73. Which of the following statements is true according to the passage?

A. Temporary extension of two years will guarantee scientists enough time.
B. Human remains of the oldest species were dug out at Happisburgh.
C. Human remains will have to be reburied despite the extension of time.
D. Scientists have been warned that the law can hardly be changed.

74. What can be inferred about the British law governing human remains?

A. The Ministry of Justice did not intend it to protect human remains.
B. The Burial Act 1857 only applied to remains uncovered before 1857.
C. The law on human remains hasn't changed in recent decades.
D. The Ministry of Justice has not done enough about the law.

75. Which of the following might be the best title of the passage?

A. New discoveries should be reburied, the government demands.
B. Research time should be extended, scientists require.
C. Law on human remains needs thorough discussion, authorities say.
D. Law could bury ancient secrets for ever, archaeologists warn.

Exercise

1. Human remains of _____(古人遗址)will be reburied and lost to science under a law that _____(威胁)research into the history of humans in Britain, a group of _____(业内领先的)archaeologists says. In a letter addressed to the justice secretary, Ken Clarke, 40 archaeologists write of their“deep and widespread concern”about the issue. It _____(集中于)the law introduced by the Ministry of Justice in 2008 which requires all human remains _____(出土的)in England and Wales to be reburied within two years, _____(不管它们的年代). The decision means scientists have too little time to study bones and other human remains of _____(民族和文化意义).

2. The law applies to any pieces of bone uncovered at around 400 dig sites, including the remains of 60 or so bodies found at Stonehenge in 2008 that date back to 3,000 BC. Archaeologists have been granted a temporary extension to give them more time, but eventually the bones will have to be returned to the ground.

译: _________________________

必背词汇

1. *remains [ri'meinz ] n. 遗迹

2. *unearth ['ʌn'ə:θ ] v . 发掘

3. *extension [iks'tenʃən ] n. 延长

*extend [iks'tend ] v. 延伸

*extensive [iks'tensiv ] adj. 广泛的

4. *grant [grɑ:nt ] v. 授予;同意

5. effectively [i'fektivli ] adv. 实际上 ;有效地

6. *preservation [ˌprezə'veiʃn ] n. 保存; 维护

preserve [pri'zə:v ] v. 保存

*conservation [ˌkɔnsə:'veiʃən ] n. 保存;保护

7. *sufficient [sə'fiʃənt ] adj. 足够的

*sufficiency [sə'fiʃənsi ] n. 充裕;自满

8. *revise [ri'vaiz ] v. 修正

9. *vague [veig ] adj. 模糊的

长难句分析

It centers on the law [introduced by the Ministry of Justice in 2008] [which requires all human remains (unearthed in England and Wales) to be reburied within two years, regardless of their age].

[分析] introduced...2008与which...age修饰the law;unearthed...Wales修饰remains。

[翻译] 问题的焦点在一部2008年由司法部颁布的法律上,这部法律规定:所有在英格兰或威尔士出土的人类遗骸,无论其年代为何,都必须在两年之内入土安葬。


Your current requirement (that all archaeologically unearthed human remains should be reburied, whether after a standard period of two years or a further special extension), is contrary to basic principles (of archaeological and scientific research) and (of museum practice),”they write.

[分析] that...special extension修饰requirement;of...research与of...practice修饰principles。

[翻译] “你们现在要求无论是在标准的两年期限还是特别延长期后,所有考古发掘出土的人类遗骸都应该重新入土,但这一要求是与考古和科学研究以及博物馆运作的基本原则相悖的。”他们写道。

全文翻译

“古代居民区的人类遗骸在一部法律的影响下将重新入土并与科学研究失之交臂,这部法律对英国人类历史的研究构成了威胁。”一组一流的考古学家这样说。在一封写给司法部长Ken Clarke的信件中,40位考古学家对这个问题表达了“深切而广泛的关注”。问题的焦点集中在一部2008年由司法部颁布的法律上,这部法律规定:所有在英格兰或威尔士出土的人类遗骸,无论其年代为何,都必须在两年之内入土安葬。这项决议意味着科学家几乎没有时间来研究具有民族和文化价值的遗骨和其他遗物。

“你们现在要求无论是在标准的两年期限还是特别延长期后,所有考古发掘出土的人类遗骸都应该重新入土,但这一要求是与考古和科学研究以及博物馆运作的基本原则相悖的。”他们写道。

这部法律适用于将近400个发掘点尚未出土的遗骨,包括于2008年在巨石阵发现的大约60具遗体——这些遗体可以追溯到公元前3000年。考古学家已被授予暂时的延长期以获取更多的时间,但最终这些遗骨将会重新入土。

这种举措可能会导致发掘点(如Norfolk的Happisburgh)未来出土物的浪费。在Happisburgh,考古学家已经发现了95万年前早期人类制作的石器,那里的发掘正在进行。如果在Happisburgh发现人类的遗骸,那将是北欧最早的人类遗骸,并且将会首次表明其所属人种。如果当前这部法律实施的话,这些遗骸将会重新入土,而且实际上会被损毁。

在2008年之前,有规定允许对年代久远的遗骨和历史遗迹进行适度的保存和研究,而《1857号埋葬法案》则适用于年代较近的遗骸。两年前司法部向考古学家保证这部法律只是临时的,但到目前为止仍没有对它进行修正。

Mike Parker Pearson是Sheffield大学的一名考古学家,他说:“考古学家已经保持了极度的耐心,因为我们被引导着去相信司法部门正在处理这个问题,但是我们觉得不能再等下去了。”

对于遗骸应该在何地或以何种方式重新入土,以及应作什么记录,司法部门都没有给出指导准则。

7. 2011全国—D【答案链接】

Cassandra Feeley finds it hard to manage on her husband's income. So this year she did something more than a hobby(业余爱好): She planted vegetables in her yard. For her fist garden, Ms. Feeley has put in 15 tomato plants, and five rows of a variety of vegetables. The family's old farm house has become a chicken house, its residents arriving next month. Last year, Ms. Rita Gartin kept a small garden. This year she has made it much larger because, she said,“The cost of everything is going up and I was looking to lose a few pounds, too; so it's a win-win situation all around.”

They are among the growing number of Americans who, driven by higher living costs and a falling economy(经济), have taken up vegetable gardening for the first time. Others have increased the size of their existing gardens. Seed companies and garden shops say that not since the 1970s has there been such an increase in interest in growing food at home. Now many gardens across the country have been sold out for several months. In Austin, Tex., some of the gardens have a three-year waiting list.

George C. Ball Jr., owner of a company, said sales of vegetable seeds and plants are up by 40% over last year, double the average growth of the last five years. Mr. Ball argues that some of the reasons have been building for the last few years. The big one is the striking rise in the cost of food like bread and milk, together with the increases in the price of fruits and vegetables. Food prices have increased because of higher oil prices. People are now driving less, taking fewer vacations, so there is more time to garden.

68. What does the word“residents”in Paragraph 1 probably refer to?

A. chickens
B. tomatoes
C. gardens
D. people

69. By saying“a win-win situation all around”, Ms. Gartin means that ________.

A. she is happier and her garden bigger
B. she may spend less and lose weight
C. she is selling more and buying less
D. she has grown more varieties of vegetables

70. Why is vegetable gardening becoming increasingly popular?

A. More Americans are doing it for fun.
B. The price of oil is lower than before.
C. There's a growing need for fruits.
D. The cost of living is on the rise.

71. Which of the following might be the best title for the text?

A. Family Food Planning
B. Banking on Gardening
C. A Belt-tightening Move
D. Gardening as a Hobby

Exercise

Cassandra Feeley finds it hard to manage on her husband's income. So this year she did something more than a hobby: She planted vegetables in her yard. For her fist garden, Ms Feeley has put in 15 tomato plants, and five rows of a variety of vegetables. The family's old farm house has become a chicken bourse, its residents arriving next month. Last year, Ms. Rita Gartin kept a small garden. This year she has made it much larger because, she said,“The cost of everything is going up and I was looking to lose a few pounds, too; so it's a win-win situation all around.”

译: _________________________

必背词汇

1. manage on 勉强维持生活

2. *resident ['rezidənt ] n. 居民

3. win-win adj. 双赢的

4. take up 从事;占据

5. existing [iɡ'zistiŋ ] adj. 现有的

6. double ['dʌbl ] v. 变为双倍

7. argue ['ɑ:gju: ] v. 认为

8. *striking ['straikiŋ ] adj. 显著的,明显的

9. on the rise 上升

10. bank on 依赖

11. belt-tightening ['belt'taitəniŋ ] adj. 节省开支的,节约的

长难句分析

They are among the growing number of Americans (who, driven by higher living costs and a falling economy, have taken up vegetable gardening for the first time).

[分析] 句子的主干是They are among the growing number of Americans;who引导的定语从句修饰Americans;driven by...是过去分词短语作状语。

[翻译] 如今,生活成本越来越高,经济发展萎靡不振,越来越多的美国人已经开始他们人生中的第一次种菜,这其中就包含上面这两位。

全文翻译

Cassandra Feeley发现仅靠丈夫的收入难以维持生计。因此,今年她做了一些并非出于爱好而做的事情:她在自家院里种起了蔬菜。Feeley女士在自己的第一个菜园里种了15棵西红柿秧苗,还有五垄各种各样的蔬菜。家里的旧农舍已被改造成一个鸡舍,鸡舍的“居民们”下个月就到。去年,Rita Gartin女士照料着一个小菜园,今年她又把小菜园扩大了,她说:“所有物品的价格都在上涨,而且我正打算减肥,所以这完全是双赢。”

如今,生活成本越来越高,经济发展萎靡不振,越来越多的美国人已经开始他们人生中的第一次种菜,这其中就包含上面这两位。还有一些人扩大了他们原有菜园的面积。种子公司和园艺商店说,自20世纪70年代以来,从来没有如此多的人对于在自家种植食物感兴趣。现在全国各地的很多菜园在几个月内就已售罄。在得克萨斯州的奥斯汀,有些菜园甚至有一个为期三年的轮候名单。

一家公司的老板George C. Ball Jr.说,去年蔬菜种子和植物的销售额提升了40%,是过去五年平均增长率的两倍。Ball先生认为一部分原因是最近几年才慢慢形成的。其中一个很重要的原因是面包、牛奶等食物的花费明显上涨,水果和蔬菜的价格也上涨了。食物价格上涨是由于油价越来越高。现在人们开车越来越少,也不怎么去度假,因此有了更多的时间去打理菜园。

8. 2011天津D【答案链接】

Blind imitation(模仿)is self-destruction. To those who do not recognize their unique worth, imitation appears attractive; to those who know their strength, imitation is unacceptable.

In the early stages of skill or character development, imitation is helpful. When I first learned to cook, I used recipes(菜谱)and turned out some tasty dishes. But soon I grew bored. Why follow someone else's way of cooking when I could create my own? Imitating role models is like using training wheels on a child's bicycle; they help you get going, but once you find your own balance, you fly faster and farther without relying on them.

In daily life, imitation can hurt us if we subconsciously(下意识地)hold poor role models. If, as a child, you observed people whose lives were bad, you may have accepted their fear and pain as normal and gone on to follow what they did. If you do not make strong choices for yourself, you will get the results of the weak choices of others.

In the field of entertainment, our culture glorifies celebrities. Those stars look great on screen. But when they step off screen, their personal lives may be disastrous. If you are going to follow someone, focus on their talent, not their bad character or unacceptable behaviors.

Blessed is the person willing to act on their sudden desire to create something unique. Think of the movies, books, teachers, and friends that have affected you most deeply. They touched you because their creations were motivated by inspiration, not desperation. The world is changed not by those who do what has been done before them, but by those who do what has been done inside them. Creative people have an endless resource of ideas. The problem a creator faces is not running out of material; it is what to do with all the material knocking at the door of imagination.

Study your role models, accept the gifts they have given, and leave behind what does not serve you. Then you can say,“I stand on the shoulders of my ancestors' tragedies and declare victory, and know that they are cheering me on.”

51. Imitation proves useful when you ______.

A. know you are unique
B. lose the balance of life
C. begin to learn something new
D. get tired of routine practice

52. To avoid the bad result of imitation, we should ______.

A. forget daily fear and pain
B. choose the right example
C. ask others for decisions
D. stay away from stars

53. According to the author, the world moves on because of those who are ______.

A. desperate to influence others with their knowledge
B. ready to turn their original ideas into reality
C. eager to discover what their ancestors did
D. willing to accept others' ideas

54. The trouble a creator faces is ______.

A. the lack of strong motivation
B. the absence of practical ideas
C. how to search for more materials
D. how to use imagination creatively

55. What is the author's purpose in writing this passage?

A. To highlight the importance of creativity.
B. To criticize the characters of role models.
C. To compare imitation with creation.
D. To explain the meaning of success.

Exercise

1. In the field of _____(娱乐), our culture _____(美化)celebrities. Those stars look great on screen. But when they step off screen, their personal lives may be _____(灾难性的). If you are going to follow someone, focus on their talent, not their bad character or _____(不可接受的)behaviors.

_____(受祝福的)is the person willing to ______(按照…行动)their sudden desire to create something _____(独特的). Think of the movies, books, teachers, and friends that have affected you most deeply. They touched you because their creations were _____(激发)by inspiration, not _____(绝望).

2. Study your role models, accept the gifts they have given, and leave behind what does not serve you. Then you can say,“I stand on the shoulders of my ancestors' tragedies and declare victory, and know that they are cheering me on.”

译: _________________________

必背词汇

1. *destruction [di'strʌkʃən ] n. 毁灭

ruin ['ruin ] n. 毁灭;废墟

in ruins 一片废墟

2. *glorify ['ɡlɔ:rifai ] v. 赞美,美化

praise [preiz ] v. 赞美,美化

3. *celebrity [si'lebriti ] n. 名人

4. *disastrous [di'zɑ:strəs ] adj. 极糟的;灾难性的

disaster [di'zɑ:stə ] n. 灾难

*catastrophic [ˌkætə'strɔfik ] adj. 灾难性的

5. motivate ['məutiveit ] v. 促进,激发

motivation [ˌməuti'veiʃən ] n. 刺激,动力

*stimulate ['stimjuleit ] v. 刺激;激励

*stimulus ['stimjuləs ] n. 刺激;激励

6. desperation [ˌdespə'reiʃən ] n. 绝望

*despair [di'spɛə ] n. 绝望

*depression [di'preʃən ] n. 沮丧;萧条

7. *tragedy ['træʤidi ] n. 悲剧

*comedy ['kɔmidi ] n. 喜剧

8. *declare [di'klɛə ] v. 宣布

announce [ə'nauns ] v. 宣布

*proclaim [prə'kleim ] v. 宣告,公布

9. victory ['viktəri ] n. 胜利

*triumph ['traiəmf ] n. 胜利

10. routine [ru:'ti:n ] adj. 常规的 n. 例行程序

11. *highlight ['hailait ] v. 强调

*emphasize ['emfəsaiz ] v. 强调,着重

underline [ˌʌndə'lain ] v. 强调

stress [stres ] v. 强调

长难句分析

The problem (a creator faces) is not running out of material; it is [what to do with all the material (knocking at the door of imagination)].

[分析] a creator faces修饰problem;what...imagination是is的表语;knocking...imagination修饰material。

[翻译] 一位创造者面临的问题不是素材的枯竭,而是如何利用那些叩响想象之门的素材。

全文翻译

盲目的模仿是自我毁灭。对于那些没有认识到自己独特价值的人来说,模仿显得很有吸引力;而对于那些清楚自己实力的人来说,模仿则是无法接受的。

在能力或性格发展的早期,模仿是有帮助的。当我第一次学做饭时,我按照菜谱做出了一些美味的佳肴。但很快我就觉得厌烦了。在可以创造自己的菜式时,我为什么还要模仿别人的做菜方法呢?模仿榜样就像是在儿童自行车上使用辅助轮,它们可以帮助你起步;一旦你自己掌握了平衡,你不必依赖它们就能骑得更快更远。

在日常生活中,如果我们下意识地选择不好的榜样,模仿就会伤害到我们。作为一个孩子,如果你观察那些过得不好的人,你可能就会把他们的恐惧和痛苦视为常事,进而去效仿他们做过的事。如果你不能为自己做出坚定的选择,你就会得到别人软弱的选择所带来的结果。

在娱乐领域,我们的文化赞颂名人。那些明星在荧幕上看起来光鲜靓丽,但是当他们走下荧幕,他们的个人生活可能是很糟糕的。如果你打算效仿某个人,你要关注他们的才华,而不是他们不好的性格或者令人无法接受的行为举止。

愿意按照自己突然产生的想法来行动,从而创造出独一无二的事物的人是幸福的。想一想那些影响你最深的电影、书籍、老师和朋友。它(他)们打动你是因为它(他)们的创造是以灵感而非绝望为动力的。这个世界不是被那些只做前人做过的事的人改变的,而是被那些按照内心想法做事的人改变的。有创造力的人有着无穷无尽的构思资源。一位创造者面临的问题不是素材的枯竭,而是如何利用那些叩响想象之门的素材。

学习你的榜样,接受他们给予你的礼物,丢掉那些对你没用的东西。之后你就可以说:“我站在先人们悲剧的肩膀上宣告着我的胜利,而且我知道他们一直在激励我。”

9. 2011浙江C【答案链接】

In the more and more competitive service industry, it is no longer enough to promise customer satisfaction. Today, customer“delight”is what companies are trying to achieve in order to keep and increase market share.

It is accepted in the marketing industry, and confirmed by a number of researchers, that customers receiving good service will promote business by telling up to 12 other people; those treated badly will tell their tales of woe to up to 20 people. Interestingly, 80 percent of people who feel their complaints are handled fairly will stay loyal.

New challenges for customer care have come when people can obtain goods and services through telephone call centers and the Internet. For example, many companies now have to invest(投资)a lot of money in information technology and staff training in order to cope with the“ phone rage ”—caused by delays in answering calls, being cut off in mid-conversation or left waiting for long periods.

“Many people do not like talking to machines,”says Dr. Storey, Senior Lecturer in Marketing at City University Business School.“Banks, for example, encourage staff at call centers to use customer data to establish instant and good relationship with them. The aim is to make the customer feel they know you and that you can trust them—the sort of comfortable feelings people have during face-to-face chats with their local branch manager.”

Recommended ways of creating customer delight include: under-promising and over-delivering (saying that a repair will be carried out within five hours, but getting it done within two); replacing a faulty product immediately; throwing in a gift voucher(购物礼券)as an unexpected“thank you”to regular customers; and always returning calls, even when they are complaints.

Aiming for customer delight is all very well, but if services do not reach the high level promised, disappointment or worse will be the result. This can be eased by offering an apology and an explanation of why the service did not meet usual standards with empathy (for example,“I know how you must feel”), and possible solutions (replacement, compensation or whatever fairness suggests best meets the case).

Airlines face some of the toughest challenges over customer care. Fierce competition has convinced them that delighting passengers is an important marketing tool, while there is great potential for customer anger over delays caused by weather, unclaimed luggage and technical problems.

For British Airways staff, a winning telephone style is considered vital in handling the large volume of calls about bookings and flight times. They are trained to answer quickly, with their names, job title and a“we are here to help”attitude. The company has invested heavily in information technology to make sure that information is available instantly on screen.

British Airways also says its customer care policies are applied within the company and staff are taught to regard each other as customers requiring the highest standards of service.

Customer care is obviously here to stay and it would be a foolish company that used slogans such as“we do as we please”. On the other hand, the more customers are promised, the greater the risk of disappointment.

50. We can learn from Paragraph 2 that ______.

A. complaining customers are hard to satisfy
B. unsatisfied customers receive better service
C. satisfied customers catch more attention
D. well-treated customers promote business

51. The writer mentions“phone rage”(Paragraph 3)to show that ______.

A. customers often use phones to express their anger
B. people still prefer to buy goods online
C. customer care becomes more demanding
D. customers rely on their phones to obtain services

52. What does the writer recommend to create customer delight?

A. Calling customers regularly.
B. Giving a“thank you”note.
C. Delivering a quicker service.
D. Promising more gifts.

53. If a manager should show his empathy(Paragraph 6), what would he probably say?

A. “I know how upset you must be.”
B. “I appreciate your understanding.”
C. “I'm sorry for the delay.”
D. “I know it's our fault.”

54. Customer delight is important for airlines because ______.

A. their telephone style remains unchanged
B. they are more likely to meet with complaints
C. the services cost them a lot of money
D. the policies can be applied to their staff

55. Which of the following is conveyed in this article?

A. Face-to-face service creates comfortable feelings among customers.
B. Companies that promise more will naturally attract more customers.
C. A company should promise less but do more in a competitive market.
D. Customer delight is more important for airlines than for banks.

Exercise

1. _____(被推荐的)ways of creating _____(客户愉悦)include: _____(低承诺)and _____(高兑现)(saying that a repair will be carried out within five hours, but getting it done within two); replacing a _____(有瑕疵的)product immediately; throwing in a _____(购物礼券)as an unexpected“thank you”to _____(常客); and always returning calls, even when they are _____(投诉).

2. It is accepted in the marketing industry, and confirmed by a number of researchers, that customers receiving good service will promote business by telling up to 12 other people; those treated badly will tell their tales of woe to up to 20 people. Interestingly, 80 percent of people who feel their complaints are handled fairly will stay loyal.

译1: _________________________

3. Customer care is obviously here to stay and it would be a foolish company that used slogans such as“we do as we please”. On the other hand, the more customers are promised, the greater the risk of disappointment.

译2: _________________________

必背词汇

1. *woe [wəu ] n. 不幸,灾难;痛苦

*agony ['ægəni ] n. 极度痛苦

sorrow ['sɔrəu ] n. 痛苦

suffering ['sʌfəriŋ ] n. 痛苦

2. obtain [əb'tein ] v. 获得

*attain [ə'tein ] v. 获得

3. *invest [in'vest ] v. 投资

*fund [fʌnd ] v. 提供资金

finance [fai'næns ] v. 资助

4. cope with 处理

handle ['hændl ] v. 处理

deal with 处理

*tackle ['tækl ] v. 处理

5. *rage [reiʤ ] n. 狂怒

6. delay [di'lei ] n./v. 耽搁,延迟

postpone [pəust'pəun ] v. 推迟

put off 推迟

7. *establish [i'stæbli∫ ] v. 建立

8. instant ['instənt ] adj. 即时的,瞬间的 n. 刹那,瞬间

the instant 一…就…

9. *voucher ['vautʃə ] n. 代金券

*coupon ['ku:pɔn ] n. 优惠券

10. *empathy ['empəθi ] n. 通感,移情

*empathetic [empə'θetik ] adj. 通情达理的

11. compensate ['kɔmpenseit ] v. 赔偿

12. convince [kən'vins ] v. 使确信

*assure [ə'ʃuə ] v. 使确信

persuade [pə'sweid ] v. 说服

13. *unclaimed ['ʌn'kleimd ] adj. 无人认领的,物主不明的

14. vital ['vaitl ] adj. 重要的;充满活力的

15. *volume ['vɔljum ] n. 数量;卷,册

长难句分析

For example, many companies now have to invest a lot of money in information technology and staff training in order to cope with the“phone rage” (—caused by delays in answering calls, being cut off in mid-conversation or left waiting for long periods.)

[分析] in...rage是目的状语;caused...periods修饰phone rage。

比如说,许多公司现在为了处理由应答延时、通话中断与等候时间过长引起的“电话怒火”,不得不在信息技术与员工培训上投入一大笔钱。


Fierce competition has convinced them [that delighting passengers is an important marketing tool, (while there is great potential for customer anger over delays caused by weather, unclaimed luggage and technical problems.)]

[分析] that...problems是convince的宾语;while...problems是让步状语,caused...problems修饰delays。

[翻译] 激烈的竞争让他们确信,令乘客愉悦是一种重要的营销方式,然而,客户很可能会对由天气、无人认领的行李及技术问题引起的航班延误表示愤怒。

全文翻译

在竞争越来越激烈的服务业中,仅仅保证客户满意已经远远达不到要求了。如今,为了提高市场份额,客户“愉悦感”才是企业正努力去实现的。

享受到良好服务的客户会告诉多达12个人,因此会促进公司业务,而那些遭到恶劣对待的客户会将他们的悲剧故事告诉多达20个人,这一点是营销界中公认的并被大量研究者所证实的。有意思的是,在感受到自己的投诉得到很好处理的客户中,有80%会保持忠诚度。

当人们可以通过电话呼叫中心和互联网获取商品与服务时,客户关怀中的新挑战到来了。比如说,许多公司现在为了处理由应答延时、通话中断或等候时间过长引起的“电话怒火”,不得不在信息技术与员工培训上投入一大笔钱。

“许多人不喜欢跟机器说话,”城市大学商学院市场营销高级讲师Storey博士说。“比如说,银行鼓励呼叫中心的员工运用客户数据与他们建立即时且良好的关系。目的是让客户感觉到他们了解你并且你可以信任他们——那种人们在与当地分公司经理进行面对面谈话时会有的舒适感觉。”

引起客户愉悦感的推荐方式包括:低承诺与高兑现(说是五小时内进行维修,但两小时内搞定);立即更换问题产品;向老顾客赠送购物礼券作为意料之外的“感谢”;以及经常性回电话,即使是投诉电话。

以客户愉悦为目标很好,但是,如果服务无法达到所承诺的高水平,结果将会是令人失望或更糟糕的。通过换位思考对为何服务没有达到常规标准进行道歉和解释(比如,“我了解你的感受”),或者提出可能的解决方案(更换、赔偿,或是任何最能解决问题的公平方案),情况是可以得到缓解的。

在客户关怀方面,航空公司面临着一些最困难的挑战。激烈的竞争让他们确信,令乘客愉悦是一种重要的营销方式,然而,客户很有可能会对由天气、无人认领的行李以及技术问题引起的航班延误表示愤怒。

对于英国航空公司的员工来说,在处理大量有关订票及航班时刻的电话时,一种有说服力的通话风格被认为是很重要的。他们被训练如何迅速接电话并报出自己的名字和职称,展现出“我来提供帮助”的态度。这家公司已经对信息技术进行了大量投资,以确保信息能即时地显示在屏幕上。

英国航空公司还表示,它的客户关怀政策在公司内部也适用,并且他们教导员工将彼此视作需要最高服务标准的客户。

客户关怀很显然会流行下去,并且愚蠢的公司才会将“我们做自己喜欢做的”作为口号。另一方面,客户被承诺的越多,失望的风险便会越大。

10. 2012安徽D【答案链接】

In Asia, there are special competitions where kites have complex designs and are fitted with instruments that make musical sounds as the wind blows through them. Although all kites have a similar structure(结构), they are widely different in size and shape. Kite-fighting competitions are also held, in which competitors use their kites to attack and bring down their opponents'(对手)kites or cut their strings(线).

For more than 15 years, the Big Wind Kite Factory has been giving kite-making and kite-flying classes for the children on an island in Hawaii. In its kite-making lessons, students can make kites in as little as 20 minutes! Children as young as four years old can learn how to fly a kite. Jonathan Socher and his wife Daphne started the kite factory in 1980. Their kites are made of nylon(尼龙). Their designs are Hawaiian themes created by Daphne. The designs are cut out of the nylon with a hot knife that seals the edges and then fastened directly onto the kite.

The kite that is used to give lessons is a regular diamond kite with a rainbow pattern. The difference between this kite and the ones they make during the lessons is that it is a two-string controllable kite. Big Wind employees fly the kite and for a few minutes show students how pulling on one line and then on the other controls the direction the kite goes in. Then the controls are given to the students.

Jonathan insists that it is not necessary to make a huge impressive kite to have fun making and flying kites. Even the simplest structure can work, and can give hours of fun. Go on, give it a try!

68. Which of the following is true according to the text?

A. A hot knife is used to iron the nylon.
B. Children never fly kites on their own in flying lessons.
C. Kite strings must not be cut in kite-fighting competitions.
D. Daphne designs kites for the Big Wind Kite Factory.

69. What is different about the kite used for flying lessons?

A. It has two strings.
B. It is simple in design.
C. It has a rainbow pattern.
D. It is shaped like a diamond.

70. According to Jonathan, what do you need to have fun with kites?

A. A large kite.
B. Any type of kite.
C. A complex structure.
D. A kite that impresses others.

71. What is mainly described in the text?

A. A kite factory.
B. Kite-flying lessons.
C. Special competitions.
D. The kite-making Process.

Exercise

1. The kite that _____(被用来)give lessons is a regular _____(菱形风筝)with a rainbow _____(图案). The difference between this kite and the ones they make during the lessons is that it is a two-string _____(可控制的)kite. Big Wind employees fly the kite and for a few minutes show students how pulling on one line and then on the other controls the _____(方向)the kite goes in. Then the controls are given to the students.

Jonathan _____(坚持说)that it is not necessary to make a huge _____(令人印象深刻的)kite to have fun making and flying kites. Even the simplest _____(结构)can work, and can give hours of fun. Go on, give it a try!

2. Their designs are Hawaiian themes created by Daphne. The designs are cut out of the nylon with a hot knife that seals the edges and then fastened directly onto the kite.

The kite that is used to give lessons is a regular diamond kite with a rainbow pattern. The difference between this kite and the ones they make during the lessons is that it is a two-string controllable kite.

译: ______

必背词汇

1. fit [fit ] v. 安装 adj. 合适的;健康的

2. blow [bləu ] v.n. 吹;打击

3. structure ['strʌktʃə ] n. 结构

*destruct [dis'trʌkt ] v. 破坏

destructive [di'strʌktiv ] adj. 破坏性的

construct [kən'strʌkt ] v. 建造 ['kɔnstrʌkt ] n. 构想

*constructive [kən'strʌktiv ] adj. 建设性的

4. *opponent [ə'pəunənt ] n. 对手

*rival ['raivəl ] n. 对手

enemy ['enimi ] n. 敌人

5. seal [si:l ] v. 密封

6. edge [ ] n. 边缘;优势

7. fasten ['fæsn ] v. 固定,系紧

8. pattern ['pætn ] n. 图案,式样;模式

9. insist [in'sist ] v. 坚持,坚决主张

*persist [pə'sist ] v. 坚持

resist [ri'zist ] v. 抵制

10. *impressive [im'presiv ] adj. 给人深刻印象的

impression [im'preʃən ] n. 印象

*depress [di'pres ] v. 使沮丧

*depressive [di'presiv ] adj. 压抑的

*depression [di'preʃən ] n. 沮丧

11. iron ['aiən ] v. 熨,烫 n . 铁;熨斗

12. shape [ʃeip ] v. 塑造 n. 形状

长难句分析

In Asia, there are special competitions [where kites have complex designs and are fitted with instruments (that make musical sounds as the wind blows through them)].

[分析] where...them修饰competitions;that...them修饰instruments;as...them为时间状语从句。

[翻译] 在亚洲,有一些特殊的竞赛,在这些竞赛里,风筝有着复杂的设计并且配有一些器材,当风吹过它们的时候,这些器材能发出声音。


Big Wind employees fly the kite and (for a few minutes) show students [how pulling on one line and then on the other controls the direction (the kite goes in)].

[分析] for a few minutes是时间状语;how...in是show的宾语;the kite goes in修饰direction。

[翻译] Big Wind公司的员工会放这个风筝并用几分钟向学生展示,如何拉这两根线来控制风筝的走向。

全文翻译

在亚洲,有一些特殊的竞赛,在这些竞赛中,风筝有着复杂的设计并且配有一些器材,当风吹过之时,这些器材能发出声音。尽管所有的风筝都有相似的结构,但是它们在大小和形状上却是千差万别。人们也会举办斗风筝比赛,选手用他们的风筝去攻击并击落对手的风筝,或者切断他们的风筝线。

Big Wind Kite Factory在夏威夷的一个岛上给孩子们开设风筝制作和放风筝的课程已经有超过15年的时间了。在风筝制作的课堂上,学生能够在短短20分钟的时间内做成风筝!4岁大小的孩子都能够学会如何去放风筝。Jonathan Socher和他妻子Daphne在1980年创办了这个工厂。他们的风筝是尼龙制成的,图案是由Daphne创作的夏威夷主题。他们用一把热封刀将尼龙切出想要的图案,然后直接固定在风筝上。

课上使用的是一个规则的菱形风筝,上面印有彩虹图案。这个风筝与他们在课堂上做的风筝的区别在于,它由两条线控制。Big Wind公司的员工会放这个风筝,并用几分钟向学生展示,如何拉这两根线来控制风筝的走向。之后,他们会把风筝的控制权交给学生。

Jonathan坚持认为,并不一定要做一个大得惊人的风筝才能在做风筝和放风筝的过程中获得乐趣。即使是最简单的结构也能奏效,并且能带给你好几个小时的乐趣。去吧,尝试一下!

易错题解析

71. 答案: A

解析: 易错选项为B和D。根据文章整体的布局,第一段介绍风筝比赛;第二段主要讲Big Wind这个工厂的kite-making;第三段主要讲Big Wind这个厂的kite-flying;最后一段讲的是这个厂的老板Jonathan对于风筝的看法。选B、C、D都太片面,只能涵盖里面的某一段,A选项a kite factory能覆盖文章的三段主体内容,因此A为较优选项。

11. 2012广东D【答案链接】

Sports account fo a growing amount of income made on the sales of commercial time by television companies. Many television companies have used sports to attract viewers from particular sections of the general public, and then they have sold audiences to advertisers.

An attraction of sport programs for the major U.S. media companies is that events are often held on Saturday and Sunday afternoons—the slowest time periods of the week for general television viewing. Sport events are the most popular weekend programs, especially among male viewers who may not watch much television at other times during the week. This means the television networks are able to sell advertising time at relatively high prices during what normally would be dead time for programming.

Media corporations also use sports to attract commercial sponsors that might take their advertising dollars elsewhere if television stations did not report certain sports. The people in the advertising departments of major corporations realize that sports attract male viewers. They also realize that most business travelers are men and that many men make family decisions on the purchases of computers, cars and life insurance.

Golf and tennis are special cases for television programming. These sports attract few viewers, and the ratings(收视率)are unusually low. However, the audience for these sports is attractive to certain advertisers. It is made up of people from the highest income groups in the United States, including many lawyers and business managers. This is why television reporting of golf and tennis is sponsored by companies selling high-priced cars, business and personal computers, and holiday trips. This is also why the networks continue to carry these programs regardless of low ratings. Advertisers are willing to pay high fees to reach high-income consumers and those managers who make decisions to buy thousands of“company cars”and computers. With such viewers, these programs don't need high ratings to stay on the air.

41. Television sports programs on weekend afternoons ______.

A. result in more sport events
B. get more viewers to play sports
C. make more people interested in television
D. bring more money to the television networks

42. Why would weekend afternoons become dead time without sport programs?

A. Because there would be few viewers.
B. Because the advertisers would be off work.
C. Because television programs would go slowly.
D. Because viewers would pay less for watching television.

43. In many families, men make decisions on ______.

A. holiday trips B. sports viewing
C. television shopping
D. expensive purchases

44. The ratings are not important for golf and tennis programs because ______.

A. their advertisers are carmakers
B. their viewers are attracted by sports
C. their advertisers target at rich people
D. their viewers can afford expensive cars

45. What is the passage mainly about?

A. Television ratings are determined by male viewers.
B. Rich viewers contribute most to television companies.
C. Sports are gaining importance in advertising on television.
D. Commercial advertisers are the major sponsors of sport events.

Exercise

1. It _____(由…组成)people from the highest _____(收入)groups in the United States, _____(包括)many lawyers and business managers. This is why television reporting of golf and tennis is _____(赞助)by companies selling high-priced cars, business and personal computers, and holiday trips. This is also why the networks continue to carry these programs _____(不管)low _____(收视率). Advertisers are willing to pay high fees to reach high-income consumers and those managers who make decisions to buy thousands of“company cars”and computers. With such viewers, these programs don't need high ratings to stay _____(广播).

2. Media corporations also use sports to attract commercial sponsors that might take their advertising dollars elsewhere if television stations did not report certain sports. The people in the advertising departments of major corporations realize that sports attract male viewers. They also realize that most business travelers are men and that many men make family decisions on the purchases of computers, cars and life insurance.

译: _________________________

必背词汇

1. account for 占…比 ;解释,说明…的原因

2. commercial [kə'mə:ʃəl ] n. 商业广告 adj. 商业的

3. corporation [ˌkɔ:pə'reiʃən ] n. 公司

*corporate ['kɔ:pərit ] adj. 公司的

cooperate [kəu'ɔpəreit ] v. 合作

4. insurance [in'ʃuərəns ] n. 保险

5. rating ['reitiŋ ] n. 收视率;等级

6. sponsor ['spɔnsə ] v. 赞助 n. 赞助商

sponsorship ['spɔnsəʃip ] n. 赞助

7. on the air 播送,广播

长难句分析

Media corporations also use sports to attract commercial sponsors [that might take their advertising dollars elsewhere (if television stations did not report certain sports)].

[分析] that...sports修饰sponsors;if...sports为条件状语从句。

[翻译] 媒体公司也会利用体育去吸引电视广告赞助商,如果电视台不报道某些赛事,他们就会把广告费投向别处。

全文翻译

体育节目广告时间的收入在电视公司销售收入中的份额呈不断增长的态势。许多电视公司已经在利用体育节目吸引公众中某些特定人群的关注,然后把观众卖给广告商。

对于美国一些主要的媒体公司来说,体育节目的一个吸引人之处在于赛事通常在周六和周日下午举行——相比一般观看电视的时间,这是一周中最慢的时间段。体育赛事是最受欢迎的周末节目,对于那些在一周当中的其他时间不怎么看电视的男性观众而言更是如此。这意味着电视广播公司能够将通常情况下的节目播放停滞期以相对较高的价格把广告时间卖出去。

媒体公司也会利用体育去吸引电视广告赞助商,如果电视台不报道某些赛事,他们就会把广告费投向别处。大公司的广告部人员意识到体育可以吸引男性观众。他们也意识到大多数出差的人都是男性,并且在一个家庭中男性在电脑、汽车和人寿保险的购买上有决定权。

高尔夫和网球是电视节目的特殊案例。这些赛事只能吸引很少观众,收视率异常低。但是,某些广告商却特别青睐这些赛事节目的观众。这部分观众是由美国收入最高的人群构成的,包括许多律师和企业经理。这就是为什么高尔夫和网球赛事的电视报道是由卖高档车、商用和个人电脑的公司及旅游公司赞助的原因。这也是为什么不管收视率多低,电视广播公司仍会继续播出这些节目的原因。广告商愿意支付高昂的费用去影响高收入消费者和那些能做决定购买数以千计的“公司用车”及电脑的经理。有了这样的观众,这些节目就不需要高收视率以保证播出了。

12. 2012山东D【答案链接】

For those who are tired of doing the laundry, Samsung has found an answer: a washing machine that can tell you when your laundry is done via a smartphone app (application).

Strange though it may seem—“my wife already does that”was a common response among attendees viewing the device when it was introduced at the Consumer Electronics Show (CES) this week—Samsung is just one of many appliance makers racing to install(安装)a large number of internet-connected features in machines in an effort to make them“smart”.

Last year, it was a refrigerator that tweeted. This year, it's WiFi-enabled laundry machines and fridges that can tell you when your groceries are going bad.

The washers and dryers, available starting in the spring, connect to any smart phone through a downloadable application. The phone can then be used as a remote control, so the machines can be turned on and off while their owner is at work or on the bus.

Samsung says it's not just something new—the app connection actually has some practical uses.

“If you started to dry clothes in the morning and forgot to take them out, you can go to your phone and restart your dryer for the time when you come home, so your clothes are refreshed and ready to go,”said spokesperson Amy Schmidt.

The company also says that with electricity rates(电价)varying depending on the time of day, more control over when the machines are used can help save money.

Perhaps, but what they will probably really accomplish is what all good technologies do—enable laziness. Rather than getting up to check on whether the laundry is done, users will instead monitor it on their phones while watching TV.

72. What can be inferred from the common response of the attendees at the CES?

A. The machine will be a big success.
B. Their wives like doing the laundry.
C. The machine is unrelated to their life.
D. This kind of technology is familiar to them.

73. What can we learn about the new laundry machines?

A. They can tell you when your clothes need washing.
B. They can be controlled with a smartphone.
C. They are difficult to operate.
D. They are sold at a low price.

74. We can conclude from Samsung's statements that ______.

A. the app connection makes life easier
B. it is better to dry clothes in the morning
C. smartphones can shorten the drying time
D. we should refresh clothes back at home

75. What is the main idea of the last paragraph?

A. The laundry should be frequently checked.
B. Lazy people like using such machines.
C. Good technologies also cause problems.
D. Television may help do the laundry.

Exercise

Strange though it may seem—“my wife already does that”was a common response among _____(出席者)viewing the _____(设备)when it was introduced at the Consumer Electronics Show (CES) this week—Samsung is just one of many _____(器具)makers racing to _____(安装)a large number of internet-connected _____(零部件)in machines in an effort to make them“smart”.

必背词汇

1. laundry ['lɔ:ndri ] n. 洗衣店,洗衣

2. *via ['vaiə ] prep. 经由,通过

3. application [ˌæpli'keiʃən ] n. 应用,申请

*appliance [ə'plaiəns ] n. 器具,装置

4. *attendee [ˌæten'di: ] n. 出席者,在场者

5. *device [di'vais ] n. 装置,设备

equipment [i'kwipmənt ] n. 设备,装备

*facility [fə'siliti ] n. 设施,设备

6. *install [in'stɔ:l ] v. 安装,安置

7. feature [fi:tʃə ] n. 零部件 ;特征

8. *tweet [twi:t ] v. 发推特(微博);鸣叫

9. grocery ['ɡrəusəri ] n. 杂货(店)

10. available [ə'veiləbl ] adj. 可利用的,可得到的

11. practical ['præktikəl ] adj. 实用的,实际的

12. refresh [ri'fre∫ ] v. 使恢复

13. rate [reit ] n. 比率,价格 v. 估价,认为

rating ['reitiŋ ] n. 收视率,等级

14. monitor ['mɔnitə ] v. 监视,监督 n. 班长,监视器

15. response [ri'spɔns ] n. 反应,回答(to)

reaction [ri'ækʃən ] n. 反应(to)

16. unrelated [ˌʌnri'leitid ] adj. 不相关的

irrelevant [i'relivənt ] adj. 不相关的

17. operate ['ɔpəreit ] v. 操作,运转

18. statement ['steitmənt ] n. 陈述,说明

19. *shorten ['ʃɔ:tən ] v. 缩短,使变短

长难句分析

Strange though it may seem—“my wife already does that”was a common response among attendees viewing the device when it was introduced at the Consumer Electronics Show (CES) this week—Samsung is just one of many appliance makers (racing to install a large number of internet-connected features in machines in an effort to make them“smart”).

[分析] though...属于让步状语从句;“my wife...that”...week属于插入语,其中,viewing the device属于后置定语,修饰attendees;when...week属于时间状语从句;racing...属于后置定语。

[翻译] 这周,当这款设备在消费者电子产品展览会上被推出的时候,参展人员的普遍反应是“我太太早已经这样做了”。尽管看起来很奇怪,但是众多的电子厂商都在竞相把大量基于互联网的零部件安装在机器之中,努力让这些机器更加“智能”,三星公司也是这些厂商之一。

全文翻译

对于那些厌倦了洗衣服的人来说,三星公司(Samsung)已经为他们找到了一个答案:一台可以通过智能手机的应用程序来告知你衣物何时洗完的洗衣机。

这周,当这款设备在消费者电子产品展览会上被推出的时候,参展人员的普遍反应是“我太太早已经这样做了”。尽管看起来很奇怪,但是众多的电子厂商都在竞相把大量基于互联网的零部件安装在机器之中,努力让这些机器更加“智能”,三星公司也是这些厂商之一。

去年,出现了一种会发微博的电冰箱。今年,轮到了具备无线上网功能的洗衣机,还有会告知你食物变质时间的电冰箱。

在今年春季开始推出的洗衣机和烘干机通过一个可下载的应用程序,就可以连接到任何一部智能手机上。这样,手机就可以被用作远程遥控器,因此,当机主正在上班或正在公交车上时也可以启动或关闭机器。

三星公司表示,这不止是新玩意——这种应用程序的连接实际上也有它的实用功能。

发言人Amy Schmidt说:“如果你在早上烘干衣物,但忘了把它们取出,你可以用你的手机重新启动烘干机,这样等你回家的时候,你的衣物就会像刚烘干一样,可以直接拿出来。”

该公司还表示,因为每天不同时段的电价是不同的,所以当你对于在什么时段使用哪种机器有更多控制权的时候,就可以帮你省钱。

事实也许如此,但是可能它们真正能做到的就是所有高科技做的——使人变懒。用户不需要站起来去检查衣服是否洗好了,而是一边看着电视,一边用手机来进行监控。

13. 2013江苏D【答案链接】

We've considered several ways of paying to cut in line: hiring line standers, buying tickets from scalpers(票贩子), or purchasing line-cutting privileges directly from, say, an airline or an amusement park. Each of these deals replaces the morals of the queue (waiting your turn) with the morals of the market (paying a price for faster service).

Markets and queues—paying and waiting—are two different ways of allocating things, and each is appropriate to different activities. The morals of the queue,“First come, first served,”have an egalitarian(平等主义的)appeal. They tell us to ignore privilege, power, and deep pockets.

The principle seems right on playgrounds and at bus stops. But the morals of the queue don't govern all occasions. If I put my house up for sale, I have no duty to accept the first offer that comes along, simply because it's the first. Selling my house and waiting for a bus are different activities, properly governed by different standards.

Sometimes standards change, and it is unclear which principle should apply. Think of the recorded message you hear, played over and over, as you wait on hold when calling your bank:“Your call will be answered in the order in which it was received.”This is essential for the morals of the queue. It's as if the company is trying to ease your impatience with fairness.

But don't take the recorded message too seriously. Today, some people's calls are answered faster than others. Call center technology enables companies to“score”incoming calls and to give faster service to those that come from rich places. You might call this telephonic queue jumping.

Of course, markets and queues are not the only ways of allocating things. Some goods we distribute by merit, others by need, still others by chance. However, the tendency of markets to replace queues, and other non-market ways of allocating goods is so common in modern life that we scarcely notice it anymore. It is striking that most of the paid queue-jumping schemes we've considered—at airports and amusement parks, in call centers, doctors' offices, and national parks—are recent developments, scarcely imaginable three decades ago. The disappearance of the queues in these places may seem an unusual concern, but these are not the only places that markets have entered.

58. According to the author, which of the following seems governed by the principle“first come, first served”?

A. Taking buses.
B. Buying houses.
C. Flying with an airline.
D. Visiting amusement parks.

59. The example of the recorded message in Paragraphs 4 and 5 illustrates ______.

A. the necessity of patience in queuing
B. the advantage of modern technology
C. the uncertainty of allocation principle
D. the fairness of telephonic services

60. The passage is meant to ______.

A. justify paying for faster services
B. discuss the morals of allocating things
C. analyze the reason for standing in line
D. criticize the behavior of queue jumping

Exercise

Some goods we _____(分配)by _____(价值), others by need, still others by chance. However, the _____(趋势)of markets to replace queues, and other non-market ways of _____(分配)goods is so common in modern life that we _____(几乎不)notice it anymore. It is _____(显著的)that most of the paid queue-jumping _____(计划)we've considered—at airports and _____(娱乐)parks, in call centers, doctors' offices, and national parks—are recent developments, scarcely _____(可想象的)three decades ago.

必背词汇

1. purchase ['pə:tʃəs ] v. 购买 n. 购买

2. *privilege ['priviliʤ ] n. 特权;荣幸

3. amusement [ə'mju:zmənt ] n. 娱乐

4. moral ['mɔrəl ] adj. 道德的 n. 道德

5. allocate ['æləukeit ] v. 分配,分派

6. appropriate [ə'prəupriit ] adj. 适当的

properly ['prɔpəli ] adv. 适当地

7. *egalitarian [iˌɡæli'teəriən ] adj. 平等主义的

8. appeal [ə'pi:l ] n. 呼吁;吸引力 v. 呼吁

9. principle ['prinsəpl ] n. 原则

10. govern ['ɡʌvən ] v. 支配,规定;统治

11. *essential [i'senʃəl ] adj. 必不可少的;本质的

12. impatience [im'peiʃəns ] n. 不耐烦

13. *distribute [dis'tribjut ] v. 分配

14. *merit ['merit ] n. 优点,价值

15. tendency ['tendənsi ] n. 趋势,倾向

16. *scarcely ['skɛəsli ] adv. 几乎不

17. striking ['straikiŋ ] adj. 显著的,引人注目的

18. *scheme [ski:m ] n. 方案;计划

19. imaginable [i'mæʤinəbl ] adj. 可以想象的

20. *illustrate ['iləstreit ] v. 说明

21. *justify ['ʤʌstifai ] v. 证明…正当

22. criticize ['kritisaiz ] v. 批评

长难句分析

However, the tendency (of markets to replace queues), and other non-market ways (of allocating goods) is so common in modern life that we scarcely notice it anymore.

[分析] so...that...属于结果状语从句。

[翻译] 然而市场取代排队,以及其他非市场分配方式的趋势在现代生活中太过普遍,以至于我们很少会注意到这种现象。

全文翻译

我们已经想出了好几种付钱插队的方式:雇人为你排队,从票贩子手中买票,或者直接从航空公司或游乐园这些地方购买插队的特权。以上每种处理方法都是在用市场道德(为获得更快的服务付钱)取代排队的道德(等待轮到你的次序)。

市场和排队——付钱和等待——是两种不同的分配方式,每一种都适用于不同的活动。排队的道德,即“先到先得”,有一种平等主义的诉求。它们告诉我们要忽视特别待遇、权力和财富。

这种法则在运动场和公交站点似乎是正确的。但是排队的道德并不是支配着所有的场合。如果我要出售房子,我就没有义务接受第一个出价,仅仅因为它是第一个。卖房子和等公交是不同的活动,它们由不同的标准支配。

有时候标准也是会改变的,而且应该用哪种原则也并不明确。想象一下你给银行打电话的情景,在你等候接听时,会听到录音消息一遍遍地播放:“您的电话将会按照拨打的顺序被接听。”这对于排队的道德来说是必要的。似乎公司正在努力用公平的借口来缓和你的不耐烦。

但是不必太拿录音消息当回事。如今,一些人的电话要比别人的电话更早被接听。呼叫中心的技术使公司能将打进来的电话分出优先等级,并为那些来自富裕地方的打电话者提供更快的服务。我们可以将这种现象称为电话插队。

当然,市场和排队并不是仅有的分配方式。有一些商品是依据价值来分配的,其他的一些依据需求分配,还有一些是随机分配的。然而市场取代排队,以及其他非市场分配方式的趋势在现代生活中太过普遍,以至于我们很少会注意到这种现象。值得注意的是,大多数我们所能想到的插队方案——在机场、游乐园、呼叫中心、医生办公室和国家公园——都是最近才发展起来的,在三十多年前是很难想象的。在这些地方队列的消失似乎会引起不同寻常的关注,但是,市场规律所渗入的并不仅仅是这些地方。

14. 2013江西B【答案链接】

When international aid is given, steps must be taken to ensure(确保)that the aid reaches the people for whom it is intended. The way to achieve this may not be simple. It is very difficult for a nation to give help directly to people in another nation. The United Nations Organization (UNO) could undertake to direct the distribution of aid. Here however rises the problem of costs. Also tied with this is time. Perhaps the UNO could set up a body of devoted men and women in every country who can speedily distribute aid to victims of floods and earthquakes.

More than the help that one nation can give to another during a disaster, it would be more effective to give other forms of help during normal times. A common proverb says,“Give me a fish and I eat for a day, teach me to fish and I eat for a lifetime. ”If we follow this wise saying, it would be right to teach people from less developed nations to take care of themselves. For example, a country could share its technology with another. This could be in simple areas like agriculture or in more complex areas like medical and health care or even in building satellites. Even a small country is able to help less developed nations. Sometimes what is taken for granted, like the setting up of a water purification plant or the administration of a school, could be useful for countries which are looking about to solve common problems. It does not cost much to share such simple things. Exchange students could be attached for a number of months or years and learn the required craft while on the site. They can then take their knowledge back to their homelands and if necessary come back from time to time to clear doubts or to update themselves. Such aid will be truly helpful and there is no chance of it being temporary or of it falling into the wrong hands.

Many countries run extensive courses in all sorts of skills. It will not cost much to include deserving foreigners in these courses. Besides giving effective help to the countries concerned, there is also the build-up of friendships to consider. Giving direct help by giving materials may be effective in the short run and must continue to be given in the event of emergencies. However, in the long run what is really effective would be the sharing of knowledge.

61. According to the author, how could international aid reach the victims in time?

A. By solving the cost problems.
B. By solving the transportation problems.
C. By setting up a body of devoted people in every country.
D. By relying on the direct distribution of the UNO.

62. What does the author try to express in the underlined sentence?

A. Providing food is vital.
B. Learning to fish is helpful.
C. Teaching skills is essential.
D. Looking after others is important.

63. The second paragraph is developed mainly ______.

A. by example
B. by process
C. by comparison
D. by contrast

64. Which aid is likely to fall into the wrong hands?

A. A medical team.
B. An exchange program.
C. A water plant.
D. Financial support.

65. What can we infer about international aid from the passage?

A. It is facing difficulties.
B. It is unnecessary during normal times.
C. It should be given in the form of materials.
D. It has gained support from developed countries.

Exercise

1. This could be in simple areas like _____(农业)or in more _____(复杂的)areas like medical and health care or even in building satellites. Even a small country is able to help less developed nations. Sometimes what is _____(被看作理所当然), like the setting up of a water _____(净化)plant or the _____(管理)of a school, could be useful for countries which are looking about to solve common problems.

2. More than the help that one nation can give to another during a disaster, it would be more effective to give other forms of help during normal times. A common proverb says,“Give me a fish and I eat for day, teach me to fish and I eat for a lifetime.”If we follow this wise saying, it would be right to teach people from less developed nations to take care of themselves.

译: _________________________

必背词汇

1. *ensure [in'ʃuə ] v. 确保

2. undertake [ˌʌndə'teik ] v. 承担

3. *distribution [ˌdistri'bju:ʃən ] n. 分发

4. victim ['viktim ] n. 受害者

5. effective [i'fektiv ] adj. 有效的

6. *proverb ['prɔvəb ] n. 谚语,格言

7. complex ['kɔmpleks ] adj. 复杂的

8. take sth. for granted 认为…理所当然

9. *purification [ˌpjuərifi'keiʃən ] n. 净化

10. administration [ədminis'treiʃən ] n. 行政,管理

11. attach [ə'tæt∫ ] v. 附上,伴随

be attached to 附着,依恋

12. *craft [krɑ:ft ] n. 工艺,技艺

13. *temporary ['tempərəri ] adj. 暂时的

14. *extensive [iks'tensiv ] adj. 广泛的

15. *deserving [di'zə:viŋ ] adj. 值得受到帮助的

16. emergency [i'mə:ʤnsi ] n. 突发事件

17. in the long run 从长远来看

18. vital ['vaitl ] adj. 至关重要的

19. financial [fai'nænʃəl ] adj. 金融的

长难句分析

When international aid is given, steps must be taken to ensure [that the aid reaches the people (for whom it is intended)].

[分析] when...属于时间状语从句;that引导宾语从句;for whom...属于带介词的定语从句。

[翻译] 当提供国际援助时,必须要采取一些措施来确保援助能够到达需要帮助的人手中。


Sometimes what is taken for granted , (like the setting up of a water purification plant or the administration of a school), could be useful for countries (which are looking about to solve common problems).

[分析] what...granted属于主语从句;which...problems属于定语从句。

[翻译] 有时,一些被看作理所当然的东西,如净化水厂的建立或者学校的管理,可能对其他正在寻求解决这些常见问题的国家是很有帮助的。

全文翻译

当提供国际援助时,必须要采取一些措施来确保援助能够到达需要帮助的人手中。想达到这一点或许并不简单。一个国家想要直接对另一个国家的人民施以援助并不容易。联合国组织能够设法指导援助物资的分发。然而,这导致了成本问题的出现。与此相关的还有时间问题。或许联合国组织可以在每个国家都设立一个由尽职尽责的人员组成的专门机构来迅速地将援助物资分发给洪涝和地震灾区的灾民们。

一个国家不仅仅可以在灾难时期给予另一个国家帮助,在平时给予其他形式的帮助会更有效。常言道:“授之以鱼,不如授之以渔。”如果我们遵循这条至理格言,那么就应该教会欠发达国家的人们照顾自己。例如,国家之间可以相互分享科技知识。可以是在农业这样的简单领域或更为复杂的医疗和卫生保健领域,甚至是卫星建造方面。即便是很小的国家也可以帮助欠发达国家。有时,一些被看作理所当然的东西,如净化水厂的建立或者学校的管理,可能对其他正在寻求解决这些常见问题的国家是很有帮助的。分享类似这样的简单事并不需要耗费太多。也可以带上一些交换生去现场待上几个月或几年,学习所需要的技术。之后他们就可以把所学知识带回祖国,而且有必要的话,他们还可以时不时地回去答疑解惑或者更新自己的知识。这样的援助将是真正有帮助的,而且既不可能是暂时的,也不会落入坏人之手。

许多国家都开设了培训各种各样技能的课程。让那些值得获得援助的外国人参加这些课程并不会多花很多钱。除了给予相关国家一些有效的帮助外,也要考虑建立友谊。通过给予物资等方式提供直接帮助也许在短时间内是有效的,但是需要在每次发生紧急事件时都持续地提供帮助。然而从长远来看,分享知识才是真正有效的方法。

15. 2013北京C【答案链接】

Does Fame Drive You Crazy?

Although being famous might sound like a dream come true, today's stars, feeling like zoo animals, face pressures that few of us can imagine. They are at the center of much of the world's attention. Paparazzi(狗仔队)camp outside their homes, cameras ready. Tabloids(小报)publish thrilling stories about their personal lives. Just imagine not being able to do anything without being photographed or interrupted for a signature!

According to psychologist Christina Villarreal, celebrities—famous people—worry constantly about their public appearance. Eventually, they start to lose track of who they really are, seeing themselves the way their fans imagine them, not as the people they were before everyone knew their names.“Over time,”Villarreal says,“they feel separated and alone.”

The phenomenon of tracking celebrities has been around for ages. In the 4th century B.C., painters followed Alexander the Great into battle, hoping to picture his victories for his admirers. When Charles Dickens visited America in the 19th century, his sold-out readings attracted thousands of fans, leading him to complain(抱怨)about his lack of privacy. Tabloids of the 1920s and 1930s ran articles about film-stars in much the same way that modern tabloids and websites do.

Being a public figure today, however, is a lot more difficult than it used to be. Superstars cannot move about without worrying about photographers with modern cameras. When they say something silly or do something ridiculous, there is always the Internet to spread the news in minutes and keep their“story”alive forever.

If fame is so troublesome, why aren't all celebrities running away from it? The answer is there are still ways to deal with it. Some stars stay calm by surrounding themselves with trusted friends and family or by escaping to remote places away from big cities. They focus not on how famous they are but on what they love to do or whatever made them famous in the first place.

Sometimes a few celebrities can get a little justice. Still, even stars who enjoy full justice often complain about how hard their lives are. They are tired of being famous already.

63. It can be learned from the passage that stars today ______.

A. are often misunderstood by the public
B. can no longer have their privacy protected
C. spend too much on their public appearance
D. care little about how they have come into fame

64. What is the main idea of Paragraph 3?

A. Great heroes of the past were generally admired.
B. The problem faced by celebrities has a long history.
C. Well-known actors are usually targets of tabloids.
D. Works of popular writers often have a lot of readers.

65. What makes it much harder to be a celebrity today?

A. Availability of modern media.
B. Inadequate social recognition.
C. Lack of favorable chances.
D. Huge population of fans.

66. What is the author's attitude toward modern celebrity?

A. Sincere.
B. Sceptical.
C. Disapproving.
D. Sympathetic.

Exercise

1. The _____(现象)of tracking _____(名人)has been around for ages. In the 4th century B.C., painters followed Alexander the Great into battle, hoping to _____(描绘)his victories for his admirers. When Charles Dickens visited America in the 19th century, his _____(售罄的读物)attracted thousands of fans, leading him to _____(抱怨)about his lack of _____(隐私).

2. Although being famous might sound like a dream come true, today's stars, feeling like zoo animals, face pressures that few of us can imagine. They are at the center of much of the world's attention. Paparazzi camp outside their homes, cameras ready. Tabloids publish thrilling stories about their personal lives. Just imagine not being able to do anything without being photographed or interrupted for a signature!

译: _____

必背词汇

1. *fame [feim ] n. 名声

reputation [ˌrepju'teiʃən ] n. 名声,声誉

2. drive [draiv ] v. 开车;驱使

3. thrilling ['θriliŋ ] adj. 令人兴奋的

4. photograph ['fəutəɡrɑ:f ] v. 拍照,摄影

5. interrupt [ˌintə'rʌpt ] v. 打断

6. signature ['siɡnitʃə ] n. 签名

7. *celebrity [si'lebriti ] n. 名人

8. phenomenon [fi'nɔminən ] n. 现象

9. ridiculous [ri'dikjuləs ] adj. 荒谬的,可笑的

10. target ['tɑ:ɡit ] n. 目标,对象

11. inadequate [in'ædikwit ] adj. 不充分的

12. *recognition [ˌrekəɡ'niʃən ] n. 承认,认出

13. favorable ['feivərəbəl ] adj. 有利的

14. *sceptical ['skeptikəl ] adj. 怀疑的

15. disapprove [ˌdisə'pru:v ] v. 不赞成

16. sympathetic [ˌsimpə'θetik ] adj. 同情的

长难句分析

Eventually, they start to lose track of who they really are, (seeing themselves the way their fans imagine them, not as the people they were before everyone knew their names).

[分析] who...are属于宾语从句;seeing...names属于伴随状语;their fans imagine them属于定语从句,修饰the way;they were属于定语从句,修饰前面的people;before...names属于时间状语从句。

[翻译] 他们最终会忘记真正的自己,把自己看成粉丝所想象的那样,而不是自己成名前的样子。

全文翻译

成名把你逼疯了吗?

尽管出名听起来像是美梦成真,然而如今的明星就像是动物园里的动物们,面对着人们难以想象的压力。他们几乎是全世界关注的中心。狗仔队拿着相机蹲守在他们的家门之外。小报上发表了许多关于他们私生活的耸人听闻的故事。仅仅想象一下做任何事都会被拍照或者因为一个签名被打断是什么感觉吧。

在心理学家Christina Villarreal看来,名人,即出名的人,一直担心他们的公众形象。他们最终会忘记真正的自己,把自己看成粉丝所想象的那样,而不是自己成名前的样子。Villarreal说:“久而久之,他们就会感到孤独。”

跟踪名人的现象由来已久。公元前4世纪,画家们跟随亚历山大大帝去打仗,期望能为他的仰慕者们描绘出胜利的情景。19世纪,查尔斯·狄更斯的作品常常售罄,他在游览美国时吸引了成千上万的粉丝,导致他抱怨缺乏隐私。20世纪20、30年代,小报上关于电影明星的文章和现代的小报以及网络上的文章如出一辙。

然而,如今当一名公众人物比以前更难。超级明星们不管走到哪儿都担心有拿着现代相机的记者拍照。一旦言行不当,负面传闻顷刻间就会在网上传播开,并且能永远让他们的“故事”热度不减。

如果成名如此麻烦,那为什么所有的名人不远离它呢?答案就是他们仍然有应对的方法。一些明星通过与他们信任的朋友和家人待在一起或是躲到远离都市的偏僻处来保持镇定。他们关注的不是他们有多大名气,而是他们热爱的事业以及最初给他们带来名气的东西。

有时,会有少数名人能得到一点点公正。但即使享有公平待遇的名人也经常抱怨他们的生活有多么不易。他们已经厌倦成名了。

Table of contents

previous page start next page